Online ISSN: 2187-2988 Print ISSN: 0911-1794
特定非営利活動法人日本小児循環器学会 Japanese Society of Pediatric Cardiology and Cardiac Surgery
Pediatric Cardiology and Cardiac Surgery 33(6): 411-422 (2017)
doi:10.9794/jspccs.33.411

ReviewReview

フォンタン術後成人患者の管理Management of Adult Patients with Fontan Physiology

東京女子医科大学循環器小児科Department of Pediatric Cardiology, Tokyo Women’s Medical University ◇ Tokyo, Japan

発行日:2017年11月1日Published: November 1, 2017
HTMLPDFEPUB3

三尖弁閉鎖をはじめとした単心室血行動態患者に対してフォンタン手術が行われるようになってすでに40年以上の歳月が経過した.この間当初は明らかでなかったフォンタン循環の特徴が次々と示されると同時に多くの遠隔期合併症も報告されるようになった.今や多くの患者が成人となっており,フォンタン病とも呼ばれる術後遠隔期の病態への理解を深めることが成人先天性心疾患の診療にあたる医師の重要な課題である.フォンタン循環は高い静脈圧と低い心拍出量が特徴といえるが,運動時の循環動態や全身臓器にもたらす影響などその病態は非常に複雑である.さらに,成人した患者では長期にわたる病態の継続がより深く全身の臓器に不可避的な影響を及ぼすため,各臓器同士の連関を考えた治療・管理戦略を立てなければならない.本稿では,フォンタン手術遠隔期で成人した患者の様々な合併症への管理を当科での臨床研究や臨床経験をまじえて詳述した.心不全から不整脈,血栓症などフォンタン循環のおもだった合併症や問題点を網羅している.また成人女性の問題として妊娠出産の管理についても触れた.これらの管理や治療戦略を通して,各病態への理解を深めていく一助となることを期待する.

The number of adult patients suffering late adverse outcomes after Fontan surgery, which is functional repair of congenital complex cyanotic heart disease with single ventricle physiology, has been steadily increasing. Fontan patients have diminished cardiac output and high central venous pressure, mainly due to absence of the pulmonary ventricle. Although adult patients are largely asymptomatic, their exercise capacity is reduced with excessive ventilation during exercise as in congestive heart failure. In addition, several late complications including arrhythmia, ventricular dysfunction, autonomic disturbance, liver fibrosis, and protein-losing enteropathy are known to occur in these patients. Therefore, there has been increased focus on health outcomes of adult patients late after Fontan surgery. Such patients need to be cared for using a multidisciplinary approach as in the case of patients with multi-organ disease, which comprises many interactions between the cardiovascular system and other organs.

Key words: Fontan surgery; late complications; adult congenital heart disease

はじめに

成人先天性心疾患の長期的な管理の観点から,各術式における特徴的な遠隔期合併症を把握し,それをふまえた管理を行っていくことは極めて重要である.フォンタン術後においては,全身のありとあらゆる器官を巻き込みながら,様々なイベントが発生する.全身的なアプローチで,可能な限り起こりうる問題を予測し,適切な患者との情報共有と管理戦略を立てることで,よりよいQOLをもたらすことが最終目標といえる.以下に成人フォンタン患者をみていくうえで重要な合併症と妊娠出産問題を列挙し,項目ごとに現在のわれわれの立ち位置(どこまでわかっているか)と今可能な治療方針を,今後の取り組むべき問題を含めて述べたい.

心不全の管理

フォンタン術後遠隔期に心室機能が低下する症例に遭遇する.原因は複数考えられるが,心筋線維化,房室弁逆流,体心室右室の後負荷脆弱性などが主因であろう1, 2).心筋の線維化はレニンアンギオテンシンアルドステロン(RAAS)系の亢進,TGF-βなどのサイトカイン,チアノーゼなどの影響で進行すると考えられる3).線維化の進行は心室拡張能の低下をもたらすと同時に心挙動の同期障害の原因にもなり,患者の運動耐容能を低下させる4).房室弁に関しては,疾患の性質上共通房室弁や房室弁の形態異常を伴う症例が多く,特に心房内臓錯位症候群ではもともと弁形態が未熟で,術後も逆流が進行して対応に苦慮する症例が多い.容量負荷による心室腔の拡大は移植回避率とも関係すると報告されており,早期の介入が必要である5).後負荷に対する心室の脆弱性は,運動時に後負荷の上昇に見合った前負荷が得られないことや体心室右室の特性によるものが考えられ,フォンタン循環における体心室の大きな特徴のひとつといえる6).また,フォンタン術後患者では血管内皮機能が低下しており,後負荷が適切に軽減しないことと関連して患者の運動耐容能を悪化させる一因となる7)

当科での検討ではフォンタン術後10年以上経過した患者51例の約30%で心機能の低下が認められ,18%が収縮機能低下で,12%が拡張機能低下であった.また,主心室が右室である症例で収縮能低下の頻度が有意に高かった(Fig. 1).ただし,軽度から中等度の心機能低下では,血管内皮や筋肉といった末梢因子によって運動時の心拍出量が修飾されるうえ,患者自身が長い年月にわたる行動や活動性の自制などから,特段何も症状を訴えない可能性がある.エコーのみならず,心臓MRIや心プールシンチグラフィなど複数のモダリティで心機能の経過は追跡することが勧められる.不整脈や妊娠を契機に急速な心機能の悪化を生じる症例もあるため,迅速な加療が必要となる.

Pediatric Cardiology and Cardiac Surgery 33(6): 411-422 (2017)

Fig. 1 Cardiac dysfunction in patients with Fontan circulation

Eighteen percent of patients had systolic dysfunction and 12% had diastolic dysfunction (a). Patients with systemic right ventricle were susceptible to systolic dysfunction (b). Systolic dysfunction was defined as ejection fraction<45%. Diastolic dysfunction was defined as end-diastolic pressure>12 mmHg.

フォンタン術後患者の心不全治療は確立された基準はいまだ存在しない.浮腫や胸腹水などの体液貯留が臨床上明らかな患者には利尿剤の使用が勧められる.ただし,過剰な使用は心拍出量を低下させるとともに腎機能に悪影響を与える.したがって当科では臨床症状をしっかり把握したうえで,体成分分析を行いedema index(0.39以上)を参考にして体液管理を行っている(edema indexとは生体電気インピーダンス法で測定された体成分分析において,細胞外液量/細胞外液量+細胞内液量で計算される浮腫の指標である.心不全の予後予測因子として最近注目を集めている).アンギオテンシン変換酵素拮抗薬/アンギオテンシン受容体拮抗薬に関しては,高静脈圧・低心拍出でRAAS系の亢進がみられる症例が多いことが知られているため,理論的には有効性があるように考えられるが,フォンタン術後患者に対する明らかな利点を指摘できた研究はいまだに現れていない8).ただしいずれの研究も比較的臨床症状に乏しい患者が対象で,血清アンギオテンシンII値なども様々であり,追跡期間も短いなどの限界がある.有症状でRAAS系の亢進が明らかな患者を多数例集積し,長期に追跡すればその効果を検証できる可能性はあると考えられる.β遮断薬についても,その有効性を実証できた研究は少ない.フォンタン患者では心自律神経活性の障害が報告されておりその効果が期待はされるが9),術後の影響や多脾症などの疾患本来の性質上洞機能不全がある患者が多いことや,血圧の低い患者も多いなどから順調な増量が困難な症例をしばしば経験する.臨床研究においても一様な患者背景が設定できないことが効果の実証しがたい原因のひとつと考えられる.また,フォンタン術後患者は頻脈に弱い半面,適切な心拍数の上昇が運動耐容能の維持に重要な役割をはたしていることもあり,慎重な導入が望まれる.運動時の変時能や最高酸素摂取量を評価したうえで少量から開始し,時間をかけてゆっくりと増量していくのがよい.

薬物療法が奏功しない場合は心臓再同期療法の適応を検討し,心臓移植なども視野にいれた戦略を検討しなければならない10, 11)

フォンタン患者の心不全は心室機能だけの問題ではない.良好な肺循環も適切な血行動態維持には不可欠である.肺血管拡張薬の有効性は様々な研究で証明されている.ET-1受容体拮抗薬においては,2014年にRCTの結果が明らかになっている12).ボセンタン12週間の内服で,運動耐容能と機能分類の改善が証明された.ただし,QOLの改善は認められていない.効果は最高酸素摂取量の低い患者,BNPとET-1値の高い患者でより有効であった.PDE阻害薬では,シルデナフィルやタダラフィルにおいて6週間で患者の運動耐容能を改善させたと報告されている13, 14).当科で主催した多施設共同研究でも,肺血管抵抗2.5Wood単位・m2以上の患者42例にシルデナフィルの内服を行い,肺血管抵抗の低下と同時に6分間歩行距離およびNYHA機能分類の改善を認めている15).今後その他の新しい肺血管拡張薬についても随時同様の研究が進められていくと考えられる.内服を決める前に肺動脈圧や肺血管抵抗など肺循環を心臓カテーテル検査で評価してから開始することが望ましい.

不整脈の管理

フォンタン術後遠隔期の不整脈(特に心房性不整脈)は術後経年的に増加し,20年のフォローアップで少なくとも50%の症例で加療を要する不整脈を生じる.ここでは最も中心的な問題となる心房性の頻拍症について取り上げたい.

基本的には手術時の心房にもたらされる縫合線やフォンタン循環による慢性的な心房への圧負荷やそれによる拡大などが誘因と考えられる16, 17).また,心房内臓錯位症候群における二重房室結節といった形態学的な問題もありうる.危険因子もいくつか報告されているが,主なものをあげると,洞結節機能不全,手術時高年齢であること,術後早期に不整脈の既往があること,などである17–20). Lateral tunnel(LT)法はAtrial Appendage Pulmonary Connection(APC)法と比較してその初期においては不整脈の発生が少ないとされていたが,長期に観察するとその差は徐々に小さくなる21).現在では心外導管を用いたExtracardiac TCPC(EC)法が術式の主流になっているが,心房への縫合線の影響は最小限に抑えられており,当初から不整脈の発生率が理論的にも減少するのではないかと期待されていた.事実術後5年間の不整脈回避率が92%と良好な成績も報告されているが,Quintonらの最近の報告では,20年程度の観察期間で,LT法とEC法で有意な差が認められておらず,この問題はAPC法と同等な長期のフォローアップ成績が明らかにならなければ解決しないと考えられる20)

症状は胸の軽い違和感から失神にいたるまで様々だが,総じてフォンタン患者では心予備能が低く,低心拍出状態であるため頻脈には弱い.早期に心不全症状の悪化がみられるうえ,突然死も十分ありうる.定期的な病歴聴取とホルター心電図での評価が必須である.心房性の頻拍が発生した場合は,まず誘因となるような血行動態の問題がないかどうか,心エコー,心臓MRI,心臓カテーテル検査などで十分検討するべきである.治療は電気的除細動,薬物治療,カテーテルアブレーションが中心になる.前述したように循環動態に甚大な影響がある症例があるため,早期の洞調律復帰を企図して電気的除細動が試みられることが多い.電気的除細動後の支持療法または除細動後も反復する場合は薬物療法が試みられる.過去にはディソピラミドなどのNaチャンネル遮断薬やベラパミルなどのCaチャンネル遮断薬,ジゴキシンなどが効果的であったと報告されているが,現在ではソタロールまたはアミオダロンが最もよく使用される22).QT延長や(アミオダロンの場合は)甲状腺機能,間質性肺炎に注意して使用する16).また,β遮断薬をこれらと併用することも効果的である.

介入が必要な血行動態的問題がなければ,カテーテルアブレーションも重要な治療の選択肢となる23–25).急性期の成功率は66~85%と様々だが,再発率も同様に25~43%と高率である.ただしEC法の場合,経静脈的に心内にカテーテルをすすめるルートが限られるため,Brockenbrough法が必要となり,習熟した術者でなければ困難である.

房室弁逆流による心房への負荷など手術的に介入が必要な問題点があれば,その介入を適切に行う.また,APC法の患者であれば,TCPC転換術も選択肢となる.TCPC転換術と同時にMaze手術を行うこともあり,術後の不整脈の再発を有効に抑制できると報告されている26)

血栓塞栓症の管理

フォンタン術後遠隔期に凝固因子の異常がみられるという報告は1990年の報告27)を皮切りに多数存在する28).同時に血小板の活性化が存在するという報告もあり,当科でも血小板活性化因子であるp-selectinがフォンタン患者で高値であることを報告している29).臨床現場でもすでに30年以上にわたってフォンタン術後患者の血栓塞栓症は大きな問題であり続けている.にもかかわらず,抗凝固・抗血栓療法についてはいまだに一致した標準治療というものがないのが現状である30–34).心房細動を合併している場合には日本循環器学会のガイドラインでもクラス1でワルファリンの使用を推奨しているが,その他の場合は明確な指針がない.Fontan Anticoagulation Study Groupの前向き試験においては血栓予防効果の点でワルファリンはアスピリンに対して優位を示すことができなかった35).しかも出血事象の点でワルファリン群は33%とアスピリンの14%に比較して多かった.現時点では各国のガイドライン上でもアスピリン(1~5 mg/kg)またはワルファリン(目標PT-INR2.0–3.0)という以上の記載はない31).また,フォンタン術後生涯継続した内服が必要か,そうでないとすれば,どの段階で抗凝固(または抗血栓)を開始すべきかは各施設によって見解が様々であろう36).筆者の方針を以下に述べるが,まず重要な点は常に血栓塞栓症の発生をみすえた外来管理を行うことである.外来診察で動悸や胸痛など特異的な症状の聴取と下腿など視診,触診で深部静脈血栓の可能性はないかを常に注視することを強調したい.そのうえで,検査では定期的なDダイマーの確認は重要である.血栓も慢性期に至ると上昇はみられなくなるので定期チェックして推移をみる必要がある.当科では1.8 mg/dL以上であれば血栓が存在する可能性が高いと考えて対応することにしている37).血栓が存在する疑いがあれば経食道エコーやMRIでの心内血栓のチェックを迅速に行う.CTやMRIなどは血栓だけが適応で行うものではないので,行った際には血栓を見落とさないようにすることが大切である.予防的管理ということにおいては,術後1年間はワルファリンによる抗凝固を全員に行っているが,その後後述の要素がなければいったん抗凝固は中止している.すなわち心機能低下,心房細動・粗動などの頻拍症,血栓症の既往,血栓形成素因(チアノーゼによる著しい多血やプロテインC/S欠乏など),下肢静脈拡張がなければそのまま無投薬で経過観察する.そのうえで術後10~15年あたりをめどにアスピリンを開始している.これはFig. 2に示す通り術後10~15年あたりから心内血栓の頻度の上昇がみられるためである.したがって,高校生後半または大学入学時あたりで投薬が開始される症例が多い.なぜ,アスピリンなのかについては,ワルファリンとの間で少なくとも現時点では非優位性はないことと,なるべく通院や食事制限などの患者側の負担を避けたいがためである.また,脱水を避け(起床時の水分摂取),状態が許す限りWalkingなど適切な運動(運動については別項目で後述する)を勧奨する.下腿静脈拡張やリンパ浮腫などがみられる場合は弾性ストッキングの着用を勧める.

Pediatric Cardiology and Cardiac Surgery 33(6): 411-422 (2017)

Fig. 2 Thromboembolic event-free rate in Fontan patients

Increase in thromboembolic events after 10–15 years following Fontan surgery (red circle).

DOACについては昨今使用症例が増えてきているのではないかと推察される38).当科では月経過多や消化管出血による貧血の進行を経験しており,今のところ使用には慎重であるべきと考えている.現在,日本成人先天性心疾患学会の研究委員会でDOAC使用の現状と有害事象についての調査が進行中であり,その結果を待ちたい.

肝線維症の管理

フォンタン術後に限らず,静脈圧が上がる疾患では程度の差こそあれ,肝障害は重要な遠隔期合併症である.特にフォタン術後では患者の予後を大きく左右することになる可能性がある39, 40).Pundiらの検討ではフォンタン術後30年の肝硬変回避率は57%であり,約半数近くの患者が術後30年で肝硬変になっていると考えられる40).最近は,フォンタン関連肝疾患(Fontan associated Liver Disease: FALD)という呼称が用いられるようになった.これはフォンタン循環に伴う高い肝静脈圧に起因する一連の肝障害の総称である.うっ血肝を生じ,やがて肝線維症となり,最終像が肝硬変である.その進行度は,血小板数の低下,血清アルブミンの低下,γGTPの上昇を始め,ヒアルロン酸やP-III-Pなど線維化マーカーにある程度反映されるが41),ひとつの決定的なマーカーに代表させるのは困難で,Fornis indexやMELD scoreのようにいくつかの血液生化学検査所見を組み合わせて,その進行度を評価する方法が考案されている42–44).定期的な画像診断も組み合わせて検討していくことが必要である.腹部エコー,CT, MRI, Elastographyなどが用いられる.肝線維化状態の評価のみならず,肝細胞がんの早期発見も画像診断の重要な役割である.また肝細胞がんを念頭に置いた血清AFPの定期測定も行ったほうがよい.

最終的な肝硬変の診断としては肝生検を行う.最近フォンタン関連肝疾患の生検査報告が相次いでいる44–48).比較的多数例の報告では,Surreyらの74例の生検についての報告がある47).全例に類洞の線維化,93%に門脈域の線維化,5.4%に肝硬変を認めたと報告している.当科では成人のフォンタン術後患者は全例消化器内科と併診として,肝障害の進行の程度に応じて肝生検を施行している.治療としては,まず生活指導である.適切なカロリー,たんぱく質の摂取やビタミンの補充などの食事指導と肝硬変の進行度によっては労務の軽減も考慮されなければならない.薬物治療としてはウルソデオキシコール酸の内服を行う.ウィルス性肝炎後の肝硬変ではアンギオテンシン拮抗薬やアルドステロン拮抗薬の効果が報告されている.線維化の進行に重要なTGF-βがレニンーアンギオテンシン–アルドステロン系の細胞内シグナル伝達の下流にあることから,肝線維化の抑制効果が期待されているが,うっ血が根底にあるFALDにおいても効果があるかどうかは不明である49, 50).腹水の軽減にはループ利尿薬やトルバプタン,スピロノラクトンの内服が行われるが,貯留が高度な症例では定期的な排液が必要となることがある.緊満した腹圧が急激に解除されることで,血圧の低下など循環動態に影響が及ぶ可能性があるので,バイタルサインに注意しながら緩徐な排液を心がける.

蛋白漏出性胃腸症の管理

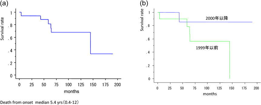
フォンタン術後遠隔期の4~13%に発症し,経年的に増加する.術後20年での回避率は86~91%とされる51–53).1998年に報告された他施設共同研究では5年生存率が50%,10年生存率20%と治療成績は極めて悪かったが,最近の報告では5年生存率88%,10年生存率72%と改善傾向にある52).このような予後改善は治療経験の蓄積やステロイド,ヘパリン,肺血管拡張薬,アルドステロン拮抗薬,水利尿薬など様々な薬物療法の影響が関連していると考えられる.当科においても,全体では5年生存率が76%であるが,2000年以前では診断から5年生存率60%であったものが,それ以降の症例では89%と明らかに改善が認められる(Fig. 3).しかし,アルブミン補給等による反復入院等,患者のQOLは低く,いまだに深刻な合併症であることには変わりがない.基本的にはフォンタン循環による高CVP状態がトリガーになっていることは疑いようがない54).心カテで安静時CVPがそれほど高値でなくても,運動時の上昇や不整脈などの有症状時の上昇が影響を与えている可能性がある.また術後比較的早期にPLEが発症した症例ではそもそもフォンタン手術の適応は正しかったかという点も討議されるべきであろう.同時にフォンタン循環として改善できうる点がないかどうかあらゆる点について十全な検討を行うことが必須である.

Pediatric Cardiology and Cardiac Surgery 33(6): 411-422 (2017)

Fig. 3 Survival of patients with PLE

a) Survival curve of Fontan patients with PLE. Five-year survival was 76%. b) Significant improvement in survival in recent years.

治療戦略の骨子は,根本問題に対するものとしては高CVP状態の改善と炎症の緩和がある.次に低アルブミン,低ガンマグロブリンに対する補充である.

まず前者についてであるが,第一に肺動脈やフォンタンルートの狭窄など外科的またはカテーテルインターベンションで介入できる病変があれば必ず修正する55–57).このような介入だけで劇的に改善する症例がある.特にフォンタン患者では肺血流量が少ないため肺動脈の末梢狭窄などがあっても圧差はほとんど発生しないので見落とさないようにすることが重要である.第二に適切な体液管理である.CVPの低下を図るため利尿剤を使用して細胞外液量の調整を図る.従来のフロセミドのほかにトルバプタンも効果を示すことがある58).第3にその他の薬物治療によるCVPの低下を図ることである.シルデナフィルなどの肺血管拡張剤は肺血管抵抗を低下させることでCVPを低下させる可能性があり,その効果が多く報告されている.房室弁逆流や主心室の拡張末期圧が高い症例ではアンギオテンシン変換酵素阻害薬/アンギオテンシン受容体阻害薬やβ遮断薬がCVP低減に役立つ可能性がある.ただし,高心拍出性心不全の状態にある患者では血管拡張薬がむしろ状態を悪化させることがあり,血行動態を十分評価してから慎重に使用を検討すべきである.アルダクトンは利尿効果のみならず抗アルドステロン効果によって心筋や肝臓の線維化の進行を抑えるとともに,門脈圧の亢進にも効果があるとされ,PLEを改善させたとする報告が多数ある59).抗炎症を狙った治療としてはステロイドがあり,多くの患者で効果が期待できるものの,長期投与にならざるをえないため副作用に十分な注意を払う必要がある60).特に骨粗しょう症などミネラル骨系の問題には留意してビタミンDやカルシウムの補給は怠らないようにする.最近日本でも腸管吸収型のステロイドである,ブデノシドの内服薬が使用可能となった61) .9 mg(3錠)でプレドニン40 mgに匹敵するが,全身的な影響はその10分の1程度とされ,欧米からは症例報告が多い.しかし,今のところ適応がクローン病に限られているうえ,8週間投与で漸減中止することが処方の前提になっており,長期投与が難しいところが問題である.ヘパリンカルシウムの皮下注(またはヘパリンナトリウムの静注)も効果的な治療の選択肢である62).しかし,当科の経験では,すでに発症から長期間経過している症例では効果がうすく,長期使用で徐々に効果が低減することもあり,単独での治療法となることは少ない.

最後にアルブミン等の補充であるが,強調しておきたいのは,あまり高い値を目標としないことである.各患者の臨床症状や社会的状況なども勘案して最低限を下回らない程度の認識で補充を考えるほうがよい.特に治療が長期にわたるとalbが2.0ないしそれを下回っていて,補充してもほとんど値が改善しない症例も多いが,目標値を高く設定すると長期に大量の血液製剤を消費することになり,患者にとってもメリットは低い.ガンマグロブリンの補充については一定の基準や根拠はない.当科では200を下回るようなら補充を検討し,100を下回ることのないように管理しているが,今後易感染性の問題とからめて検討が必要と考えられる.

内分泌・代謝

フォンタン術後の一連の合併症は全身のありとあらゆる臓器に影響するため,内分泌や代謝の面でも重要な知見が蓄積されつつある.

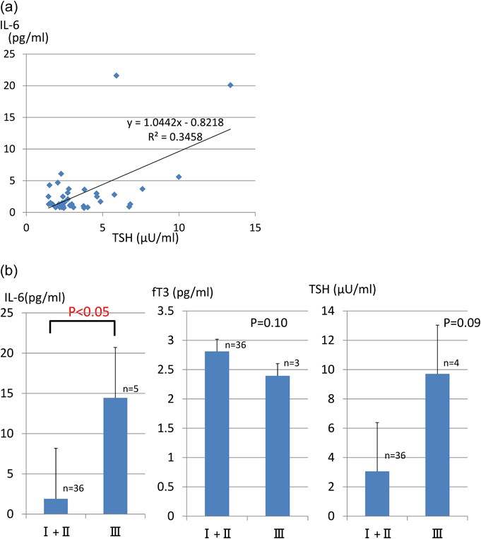
臓器連関が注目されるよりはるかに以前から心臓と甲状腺の連関は広く知られている.甲状腺ホルモンは心筋細胞の様々な遺伝子発現をコントロールし,myosin heavy chainやphospholamban, αおよびβ adrenergicreceptorなどの機能に影響を与えることで,心不全の病態に関与する63, 64).慢性心不全の患者では,T3低値やTSH高値の状態になっている頻度が高い.これらの甲状腺機能異常は心イベントなどの予後とも関係しており,低T3症候群と称される65).この病態には,心不全による低栄養やIL6などの高サイトカイン血症が関与している.フォンタン患者においてもしばしば高TSH,低T3状態が認められ,慢性心不全の管理や治療において今後着目すべきと考えられる(Fig. 4).また,アミオダロンを内服している患者では甲状腺機能に常に留意していく必要がある.当科での調査では,アミオダロン内服患者では約30%に甲状腺機能異常が発生しており,甲状腺専門医と連携して対応にあたらなければならない66)

Pediatric Cardiology and Cardiac Surgery 33(6): 411-422 (2017)

Fig. 4 Thyroid function in Fontan patients

(a) In Fontan patients, TSH levels were positively correlated with serum IL6 concentrations. (b) Patients with NYHAIII tended to have higher IL-6 and TSH levels and lower T3 levels compared with other patients.

副甲状腺ホルモンとカルシウム代謝も,フォンタン循環のような慢性心不全状態の患者の長期管理の上では念頭に置くべき問題である.ビタミンDは炎症を誘導するサイトカインを抑制し,RAAS系の不活化を通して心不全の増悪に抑制的に働く.ビタミンDの欠乏は,二次性副甲状腺機能低下が引き起こし,カルシウム代謝に影響を与えることで,慢性心不全の増悪やそれに伴う臓器障害の進行のメカニズムに関与すると考えられる67).成人先天性心疾患患者においてもその93%に,ビタミンD欠乏または二次性副甲状腺機能低下が認められたと報告されている68).また,血清PTHレベルは心不全の重症度や腎機能と相関があり,慢性心不全の予後にも関与する可能性がある.さらにこのようなホルモン異常は慢性腎疾患や骨粗しょう症の早期発症にも関与しており,フォンタン循環とbone mineral disorderの関係が今後注目を集める課題となるであろう.

脂質・糖質代謝も成人フォンタン患者をみていくうえで重要な点である.特に脂質分解の過程にはβ受容体が関与しており,高脂血症は心臓自律神経活性異常などの慢性心不全の病態と連関していることはよく知られている69).当科での研究では,フォンタン患者における血清コレステロール値と中性脂肪値は血中ノルアドレナリン値と正の相関があり,性別,年齢,肥満度などで補正しても独立した規定因子であった70).さらに,コレステロールや中性脂肪が異常高値でない患者でも,EPA/AA比をみると低値である場合が多く71),低い患者では心イベント発生率が高い傾向がある(未発表).糖質代謝も同様に重要な因子である.大内らは,フォンタン患者に75gOGTTを施行すると40%で耐糖能障害,15%で糖尿病パターンを示し,これらの患者では心イベントの発生率が高いことを報告している72).当科でも80%近い患者でHbA1cが5.6以上で,3%が6.5以上と明らかに正常対照群より高く,肥満度や年齢よりも低い心拍出量がHbA1cの規定因子であった70).先述のように,これらの代謝異常は慢性心不全の病態に直接影響するのみならず,血管内皮機能の悪化や動脈硬化の進行に寄与するため,フォンタン患者においては注目すべき合併症であり,適切な食事や生活の指導と慎重な経過観察が必要である.

妊娠・出産

フォンタン患者の妊娠は欧米のガイドラインでも推奨されていないが73),日本国内でもすでに多くの患者が妊娠可能な年齢になり,多くの成人先天性心疾患外来を担当する医師が今後妊娠出産の管理に直面せざるをえないであろう.卵巣機能の異常が存在する頻度が高く,不妊率や流産率が高い74, 75).その管理についてはいまだ標準化された指針は確立されておらず,経験のある専門医と関係各科のそろった三次専門施設で管理するべきである.

妊娠中には循環血漿量の増加に伴う心負荷の増悪や自律神経活性の変化,血液凝固活性亢進などによって様々なイベントが発生する可能性がある.特に不整脈(特に心房性性頻拍)は最も頻度が高い合併症で,経過中10~20%で発生する75, 76).定期的な心電図のチェックやホルター心電図の評価が必須である.血栓出血イベントも多いため,下肢の腫脹・発赤など静脈血栓の兆候には経過中常に気を配らなければならないし,心エコーで心内血栓のルールアウトを定期的に行わなければならない.ワーファリン内服中の患者は催奇形性があるため,直ちに休薬してヘパリンによる管理に切り替える必要がある.5 mg未満の使用であれば影響は少ないとする報告もあるが77),欧米人での検討であって,日本人にそのまま当てはまるかは不明であり,少量でも中止することが望ましい.アスピリンの場合は妊娠後期には予想または予定される出産時期をふまえてヘパリンに切り替える必要がある.いずれの場合も妊娠中の抗血栓抗凝固療法は流産率を高め,絨毛膜下血種などの合併症の問題も生じるため,産科,麻酔科などと連携して慎重に対応していくことが求められる.心負荷の増悪に伴って浮腫や易疲労感の増悪が進行する場合が多く,満期に至る前に児の娩出を図らなければならなくなる頻度が高く,児に関しても2,000 gないしそれ以下の低出生体重児となることが多い.また帝王切開が選択される場合も通常より高い(50~70%).児の心疾患発症率は通常妊娠より高くなることは確認されていない76)

当科では昨年までに15例の妊娠出産を経験しており,平均出産週数は33.6週(29~38週),児の平均出生体重は1,930 g(1,023~2,498 g)であった.心合併症は,1例で心房性頻拍の発症と1例で心不全の進行を認めたが比較的少なかったが,36%に絨毛膜血腫や大量性器出血などの産科合併症が認められた.心不全の進行が認められた症例ではその後も心機能の著しい悪化がありNYHAIIIからIVとなっている.

運動処方

フォンタン患者にどこまで運動を勧めるか,またはそもそも運動を勧めるかどうかにはいまだ議論が多いところである.勧めるにしても一定の基準にもとづいた処方が決められているわけではないので,各主治医の判断に委ねられているのが現状であろう.

筋肉は第二の心臓ともいわれ,特に肺側心室を持たないファンタン循環においては,正常心の運動時血行動態と比較してもより重要な働きを担っている.また,骨格筋肉量は最高酸素摂取量などの運動耐容能指標を規定し,心疾患の予後と深く関連していることが広く知られている78).昨今フレイルやサルコペニアなど心不全に伴う骨格筋の機能不全を表す概念が重要な研究テーマとなっているが,先天性心疾患においても患者の高齢化に伴ってこのような問題は避けて通れない分野になるであろう79).われわれはフォンタン術後患者において,筋肉内血行動態と運動耐容能との関係を明らかにするために自転車エルゴメーターによる心肺運動負荷試験を行い,同時に運動中の大腿四頭筋内のヘモグロビン酸素化動態を近赤外線光法で測定した7).この研究で,運動中の筋肉内でのヘモグロビンの脱酸素化や,運動後の筋肉内への酸素化ヘモグロビンの増加(運動後充血反応)が,患者の運動耐容能と深く関連していることが明らかになった.これらの運動中の筋肉内血行動態は血管内皮機能と密接に関連しており,フォンタン患者の運動耐容能は血管内皮機能を通じて筋肉内血行動態に規定されていることが示された(Fig. 5).すなわち筋肉内に分布している抵抗血管の拡張性と運動時の筋肉への血流分布や酸素化動態(筋肉の質の問題でもある)が患者の運動時心血行動態に相互的に関係し,心機能とは独立に運動耐容能を規定している可能性がある.したがって,筆者は心臓リハビリテーションによる筋肉量の維持や血管内皮機能の改善がフォンタン患者のQOLや予後の改善にも資するのではないかと考えている80–82).しかし,その一方で運動による自律神経の活性化や血中アドレナリン値の上昇が不整脈を惹起する方向に作用したり,運動時の中心静脈圧の上昇が肝臓をはじめとした内臓のうっ血や線維化に促進的に働く可能性も存在するため,どこまでの運動が適切かはいまだに答えが出せない83, 84).現状,有酸素運動では,心肺運動負荷試験を行い無酸素閾値レベルに達する30~60秒前の心拍数をめどとした運動を週1~3回程度の範囲で勧めている.デメリットの部分も勘案すれば競技的な活動への参加は勧めないが(しばしば程度を逸脱してしまうことが起こりがちであるため),歩行や速歩などで無酸素閾値を超えることのない有酸素運動を行うことはメリットの部分が大きいのではないかと考えている.この点に関してはいずれ介入研究を行って明らかにしていく必要があるであろう.ウェイトトレーニングなどのレジスタンス運動については,息ごらえを行わないように注意しながら積極的に取り組むように指導している.フォンタン患者へのレジスタンス運動の有効性については小規模ではあるがいくつかの報告が存在する85).さらに,呼吸筋トレーニングも有効である可能性がある.フォンタン患者における呼吸機能と運動耐容能の関係はいくつか報告があり,当科での研究でも運動時最高換気量や換気予備能は運動耐容能と正の相関を認めた.また3回以上開胸術を行った患者では,拘束性換気障害が強くなり運動耐容能の低下する傾向がみられた86).フォンタン循環では筋肉ポンプとともに胸腔内圧の変化が肺血流の増加に寄与しており,呼吸筋トレーニングは一定の有効性をもつ可能性が考えられるため,今後実証していく課題であると考えている.

Pediatric Cardiology and Cardiac Surgery 33(6): 411-422 (2017)

Fig. 5 Near-infrared spectroscopy analysis in working skeletal muscles

Fontan patients had minimal oxygen extraction and blunted postexercise hyperemia, which was associated with endothelial dysfunction. a: Start point, b: anaerobic threashold point, c: end point

おわりに

紙数の関係で精神・社会的な問題や脳循環など論じられないかった点やエビデンスに乏しく十分に触れることのできなかった分野もあるが,フォンタン循環は全身くまなく何らかの影響を与えるため,成人期のフォンタン患者が全身的かつ多角的な視点でみていかなくてはならないことを強調したい.そのうえで,今後明らかにしなければならいない点もいまだに多く,複合的な視野にたった疫学研究や介入研究をなるべく大規模に行っていく必要があるであろう.

利益相反

本論文について,開示すべき利益相反(COI)はない.

引用文献References

1) Gewillig MH, Lundstrom UR, Deanfield JE, et al: Impact of Fontan operation on left ventricular size and contractility in tricuspid atresia. Circulation 1990; 81: 118–127

2) Cheung YF, Penny DJ, Redington AN: Serial assessment of left ventricular diastolic function after Fontan procedure. Heart 2000; 83: 420–424

3) Inai K, Nakanishi T, Nakazawa M: Clinical correlation and prognostic predictive value of neurohumoral factors in patients late after the Fontan operation. Am Heart J 2005; 150: 588–594

4) Kato A, Riesenkampff E, Yim D, et al: Pediatric Fontan patients are at risk for myocardial fibrotic remodeling and dysfunction. Int J Cardiol 2017; 240: 172–177

5) Rathod RH, Prakash A, Kim YY, et al: Cardiac magnetic resonance parameters predict transplantation-free survival in patients with fontan circulation. Circ Cardiovasc Imaging 2014; 7: 502–509

6) Szabó G, Buhmann V, Graf A, et al: Ventricular energetics after the Fontan operation: contractility-afterload mismatch. J Thorac Cardiovasc Surg 2003; 125: 1061–1069

7) Inai K, Saita Y, Takeda S, et al: Skeletal muscle hemodynamics and endothelial function in patients after Fontan operation. Am J Cardiol 2004; 93: 792–797

8) Kouatli AA, Garcia JA, Zellers TM, et al: Enalapril does not enhance exercise capacity in patients after Fontan procedure. Circulation 1997; 96: 1507–1512

9) Ohuchi H, Hasegawa S, Yasuda K, et al: Severely impaired cardiac autonomic nervous activity after the Fontan operation. Circulation 2001; 104: 1513–1518

10) Takeuchi D, Asagai S, Ishihara K, et al: Successful Fontan conversion combined with cardiac resynchronization therapy for a case of failing Fontan circulation with ventricular dysfunction. Eur J Cardiothorac Surg 2014; 46: 913–915

11) Miyazaki A, Sakaguchi H, Kagisaki K, et al: Optimal pacing sites for cardiac resynchronization therapy for patients with a systemic right ventricle with or without a rudimentary left ventricle. Europace 2016; 18: 100–112

12) Hebert A, Mikkelsen UR, Thilen U, et al: Bosentan improves exercise capacity in adolescents and adults after Fontan operation: The TEMPO (Treatment With Endothelin Receptor Antagonist in Fontan Patients, a Randomized, Placebo-Controlled, Double-Blind Study Measuring Peak Oxygen Consumption) study. Circulation 2014; 130: 2021–2030

13) Goldberg DJ, French B, McBride MG, et al: Impact of oral sildenafil on exercise performance in children and young adults after the fontan operation: A randomized, double-blind, placebo-controlled, crossover trial. Circulation 2011; 123: 1185–1193

14) Van De Bruaene A, La Gerche A, Claessen G, et al: Sildenafil improves exercise hemodynamics in Fontan patients. Circ Cardiovasc Imaging 2014; 7: 265–273

15) Mori H, Park IS, Yamagishi H, et al: Sildenafil reduces pulmonary vascular resistance in single ventricular physiology. Int J Cardiol 2016; 221: 122–127

16) Weipert J, Noebauer C, Schreiber C, et al: Occurrence and management of atrial arrhythmia after long-term Fontan circulation. J Thorac Cardiovasc Surg 2004; 127: 457–464

17) Fishberger SB, Wernovsky G, Gentles TL, et al: Factors that influence the development of atrial flutter after the Fontan operation. J Thorac Cardiovasc Surg 1997; 113: 80–86

18) Gelatt M, Hamilton RM, McCrindle BW, et al: Risk factors for atrial tachy-arrhythmias after the Fontan operation. J Am Coll Cardiol 1994; 24: 1735–1741

19) Durongpisitkul K, Porter CJ, Cetta F, et al: Predictors of early- and late-onset supraventricular tachyarrhythmias after Fontan operation. Circulation 1998; 98: 1099–1107

20) Quinton E, Nightingale P, Hudsmith L, et al: Prevalence of atrial tachyarrhythmia in adults after Fontan operation. Heart 2015; 101: 1672–1677

21) Amodeo A, Galletti L, Marianeschi S, et al: Extracardiac Fontan operation for complex cardiac anomalies: Seven years’ experience. J Thorac Cardiovasc Surg 1997; 114: 1020–1030, discussion, 1030–1031

22) Fujita S, Takahashi K, Takeuchi D, et al: Management of late atrial tachyarrhythmia long after Fontan operation. J Cardiol 2009; 53: 410–416

23) Triedman JK, Alexander ME, Love BA, et al: Influence of patient factors and ablative technologies on outcomes of radiofrequency ablation of intra-atrial re-entrant tachycardia in patients with congenital heart disease. J Am Coll Cardiol 2002; 39: 1827–1835

24) Zrenner B, Ndrepepa G, Schneider MAE, et al: Mapping and ablation of atrial arrhythmias after surgical correction of congenital heart disease guided by a 64- electrode basket catheter. Am J Cardiol 2001; 88: 573–578

25) Combes N, Derval N, Hascoët S, et al: Ablation of supraventricular arrhythmias in adult congenital heart disease: A contemporary review. Arch Cardiovasc Dis 2017; 110: 334–345

26) Hiramatsu T, Iwata Y, Matsumura G, et al: Impact of Fontan conversion with arrhythmia surgery and pacemaker therapy. Eur J Cardiothorac Surg 2011; 40: 1007–1010

27) Cromme-Dijkhuis AH, Henkens CM, Bijleveld CM, et al: Coagulation factor abnormalities as possible thrombotic risk factors after Fontan operations. Lancet 1990; 336: 1087–1090

28) Balling G: Fontan anticoagulation: a never ending debate. J Am Coll Cardiol 2016; 68: 1320–1322

29) Kajimoto H, Nakazawa M, Murasaki K, et al: Increased P-selectin expression on platelets and decreased plasma thrombomodulin in Fontan patients. Circ J 2009; 73: 1705–1710

30) Rosenthal DN, Friedman AH, Kleinman CS, et al: Thromboembolic complications after Fontan operations. Circulation 1995; 92 Suppl: II287–II293

31) Monagle P, Chalmers E, Chan A, et al: Antithrombotic therapy in neonates and children: American College of Chest Physicians evidence-based clinical practice guidelines (8th Edition). Chest 2008; 133 Suppl: 887S–968S

32) Egbe AC, Connolly HM, McLeod CJ, et al: Thrombotic and Embolic Complications Associated With Atrial Arrhythmia After Fontan Operation: Role of Prophylactic Therapy. J Am Coll Cardiol 2016; 68: 1312–1319

33) Ohuchi H, Yasuda K, Miyazaki A, et al: Prevalence and predictors of haemostatic complications in 412 Fontan patients: their relation to anticoagulation and haemodynamics. Eur J Cardiothorac Surg 2015; 47: 511–519

34) Potter B, Leong-Sit P, Fernandes SM, et al: Effect of Aspirin and warfarin therapy on thromboembolic events in patients with univentricular hearts and Fontan palliation. Int J Cardiol 2013; 168: 3940–3943

35) Monagle P, Cochrane A, Roberts R, et al: Fontan Anticoagulation Study Group: A multicenter, randomized trial comparing heparin/warfarin and acetylsalicylic acid as primary thromboprophylaxis for 2 years after the Fontan procedure in children. J Am Coll Cardiol 2011; 58: 645–651

36) Nguyen N, Anley P, Yu MY, et al: Genetic and Clinical determinants influencing warfarin dosing in children with heart disease. Pediatr Cardiol 2013; 34: 984–990

37) Takeuchi D, Inai K, Shinohara T, et al: Blood coagulation abnormalities and the usefulness of D-dimer level for detecting intracardiac thrombosis in adult Fontan patients. Int J Cardiol 2016; 224: 139–144

38) Pujol C, Niesert AC, Engelhardt A, et al: Usefulness of Direct Oral Anticoagulants in Adult Congenital Heart Disease. Am J Cardiol 2016; 117: 450–455

39) Rychik J, Veldtman G, Rand E, et al: The precarious state of the liver after a Fontan operation: Summary of a multidisciplinary symposium. Pediatr Cardiol 2012; 33: 1001–1012

40) Pundi K, Pundi KN, Kamath PS, et al: Liver Disease in Patients After Fontan Operation. Am J Cardiol 2016; 117: 456–460

41) Shimizu M, Miyamoto K, Inai K, et al: Risk factors and serological markers of liver cirrhosis after Fontan procedure. Heart Vessels 2016; 31: 1514–1521

42) Ailawadi G, Lapar DJ, Swenson BR, et al: Model for end-stage liver disease predicts mortality for tricuspid valve surgery. Ann Thorac Surg 2009; 87: 1460–1467, discussion, 1467–1468

43) Assenza GE, Graham DA, Landzberg MJ, et al: MELD-XI score and cardiac mortality or transplantation in patients after Fontan surgery. Heart 2013; 99: 491–496

44) Evans WN, Acherman RJ, Ciccolo ML, et al: MELD-XI Scores Correlate with Post-Fontan Hepatic Biopsy Fibrosis Scores. Pediatr Cardiol 2016; 37: 1274–1277

45) Kendall TJ, Stedman B, Hacking N, et al: Hepatic fibrosis and cirrhosis in the Fontan circulation: A detailed morphological study. J Clin Pathol 2008; 61: 504–508

46) Evans WN, Acherman RJ, Reardon LC, et al: Fontan outcomes and pulmonary blood flow at birth. Pediatr Cardiol 2016; 37: 30–36

47) Surrey LF, Russo P, Rychik J, et al: Prevalence and characterization of fibrosis in surveillance liver biopsies of patients with Fontan circulation. Hum Pathol 2016; 57: 106–115

48) Ghaferi AA, Hutchins GM: Progression of liver pathology in undergoing the Fontan procedure: Chronic passive congestion, cardiac cirrhosis, hepatic adenoma, and hepatocellular carcinoma. J Thorac Cardiovasc Surg 2005; 129: 1348–1352

49) Corey KE, Shah N, Misdraji J, et al: The effect of angiotensin-blocking agents on liver fibrosis in patients with hepatitis C. Liver Int 2009; 29: 748–753

50) Moreno M, Gonzalo T, Kok RJ, et al: Reduction of advanced liver fibrosis by short-term targeted delivery of an angiotensin receptor blocker to hepatic stellate cells in rats. Hepatology 2010; 51: 942–952

51) Mertens L, Hagler DJ, Sauer U, et al: Protein-losing enteropathy after the Fontan operation: An international multicenter study. PLE study group. J Thorac Cardiovasc Surg 1998; 115: 1063–1073

52) John AS, Johnson JA, Khan M, et al: Clinical outcomes and improved survival in patients with protein-losing enteropathy after the Fontan operation. J Am Coll Cardiol 2014; 64: 54–62

53) Meadows J, Jenkins K: Protein-losing enteropathy: Integrating a new disease paradigm into recommendations for prevention and treatment. Cardiol Young 2011; 21: 363–377

54) Ohuchi H, Yasuda K, Miyazaki A, et al: Haemodynamic characteristics before and after the onset of protein losing enteropathy in patients after the Fontan operation. Eur J Cardiothorac Surg 2013; 43: e49–e57

55) Brizard CP, Lane GK, Alex G, et al: Original surgical procedure for the treatment of protein-losing enteropathy in Fontan patients: Report of two midterm successes. Circulation 2016; 134: 625–627

56) Antonio M, Gordo A, Pereira C, et al: Thoracic duct decompression for protein-losing enteropathy in failing Fontan circulation. Ann Thorac Surg 2016; 101: 2370–2373

57) Uzun O, Wong JK, Bhole V, et al: Resolution of protein-losing enteropathy and normalization of mesenteric Doppler flow with sildenafil after Fontan. Ann Thorac Surg 2006; 82: e39–e40

58) Yoshinaga D, Ishizuka J, Ogino K, et al: Efficacy of Tolvaptan for protein-losing enteropathy in two patients who underwent the Fontan operation. Pediatr Cardiol Cadiac Surg. 2013; 29: 244–250

59) Okano S, Sugimoto M, Takase M, et al: Effectiveness of high-dose spironolactone therapy in a patient with recurrent protein-losing enteropathy after the Fontan procedure. Intern Med 2016; 55: 1611–1614

60) Goldberg DJ, Dodds K, Avitabile CM, et al: Children with protein-losing enteropathy after the Fontan operation are at risk for abnormal bone mineral density. Pediatr Cardiol 2012; 33: 1264–1268

61) John AS, Driscoll DJ, Warnes CA, et al: The use of oral budesonide in adolescents and adults with protein-losing enteropathy after the Fontan operation. Ann Thorac Surg 2011; 92: 1451–1456

62) Bode L, Murch S, Freeze HH: Heparan sulfate plays a central role in a dynamic in vitro model of protein-losing enteropathy. J Biol Chem 2006; 281: 7809–7815

63) Kinugawa K, Yonekura K, Ribeiro RC, et al: Regulation of thyroid hormone receptor isoforms in physiological and pathological cardiac hypertrophy. Circ Res 2001; 89: 591–598

64) Sussman MA: When the Thyroid Speaks, the Heart Listens. Circ Res 2001; 89: 557–559

65) Rothberger GD, Gadhvi S, Michelakis N, et al: Usefulness of Serum Triiodothyronine (T3) to Predict Outcomes in Patients Hospitalized With Acute Heart Failure. Am J Cardiol 2017; 119: 599–603

66) Takeuchi D, Honda K, Inai K, et al: Incidence, Clinical Course, and Risk Factors of Amiodarone-Induced Thyroid Dysfunction in Japanese Adults With Congenital Heart Disease. Circ J 2015; 79: 1828–1834

67) Judd SE, Tangpricha V: Vitamin D deficiency and risk for cardiovascular disease. Am J Med Sci 2009; 338: 40–44

68) Izumi G, Inai K, Shimada E, et al: Vitamin D Kinetics and Parathyroid Gland Function in Patients with Congenital Heart Disease. Congenit Heart Dis 2016; 11: 700–706

69) Geerling JJ, Boon MR, Kooijman S, et al: Sympathetic nervous system control of triglyceride metabolism: Novel concepts derived from recent studies. J Lipid Res 2014; 55: 180–189

70) Kurishima C, Inai K, Asagai S, et al: Factors associated with glucose intolerance and abnormal lipid metabolism in Fontan patients. Circulation 2014; 130: Suppl2, A19961

71) Kanoh M, Inai K, Shinohara T, et al: Clinical implications of eicosapentaenoic acid/arachidonic acid ratio (EPA/AA) in adult patients with congenital heart disease. Heart Vessels 2017; 32: 1513–1522

72) Ohuchi H, Miyamoto Y, Yamamoto M, et al: High prevalence of abnormal glucose metabolism in young adult patients with complex congenital heart disease. Am Heart J 2009; 158: 30–39

73) Regitz-Zagrosek V, Blomstrom Lundqvist C, Borghi C, et al: ESC Guidelines on the management of cardiovascular diseases during pregnancy: The Task Force on the Management of Cardiovascular Diseases during Pregnancy of the European Society of Cardiology (ESC). Eur Heart J 2011; 32: 3147–3197

74) Canobbio MM, Perloff JK, Rapkin AJ: Gynecological health of females with congenital heart disease. Int J Cardiol 2005; 98: 379–387

75) Pundi KN, Pundi K, Johnson JN, et al: Contraception practices and pregnancy outcome in patients after Fontan operation. Congenit Heart Dis 2016; 11: 63–70

76) Gouton M, Nizard J, Patel M, et al: Maternal and fetal outcomes of pregnancy with Fontan circulation: a multicentric observational study. Int J Cardiol 2015; 187: 84–89

77) Vitale N, De Feo M, De Santo LS, et al: Dosedependent fetal complications of warfarin in pregnant women with mechanical heart valves. J Am Coll Cardiol 1999; 33: 1637–1641

78) von Haehling S, Ebner N, Dos Santos MR, et al: Muscle wasting and cachexia in heart failure: mechanisms and therapies. Nat Rev Cardiol 2017; 14: 323–341

79) Saitoh M, Ishida J, Doehner W, et al: Sarcopenia, cachexia, and muscle performance in heart failure: Review update 2016. Int J Cardiol 2017; 238: 5–11

80) Cordina R, O’Meagher S, Gould H, et al: Skeletal muscle abnormalities and exercise capacity in adults with a Fontan circulation. Heart 2013; 99: 1530–1534

81) Duppen N, Etnel JR, Spaans L, et al: Does exercise training improve cardiopulmonary fitness and daily physical activity in children and young adults with corrected tetralogy of Fallot or Fontan circulation? A randomized controlled trial. Am Heart J 2015; 170: 606–614

82) Takken T, Hulzebos HJ, Blank AC, et al: Exercise prescription for patients with a Fontan circulation: current evidence and future directions. Neth Heart J 2007; 15: 142–147

83) Sutherland N, Jones B, d’Udekem Y: Should we recommend exercise after the Fontan procedure? Heart Lung Circ 2015; 24: 753–768

84) Navaratnam D, Fitzsimmons S, Grocott M, et al: Exercise-induced systemic venous hypertension in the Fontan circulation. Am J Cardiol 2016; 117: 1667–1671

85) Cordina RL, O’Meagher S, Karmali A, et al: Resistance training improves cardiac output, exercise capacity and tolerance to positive airway pressure in Fontan physiology. Int J Cardiol 2013; 168: 780–788

86) Inai K, Shimada E, Shinohara T, et al: Lung function and exercise capacity in adult patients late after the Fontan operation. J of Adult Congenit Heart Dis 2013; 2: 29–37

This page was created on 2017-12-04T14:56:26.302+09:00
This page was last modified on 2017-12-26T14:03:49.380+09:00


このサイトは(株)国際文献社によって運用されています。