Online ISSN: 2187-2988 Print ISSN: 0911-1794
特定非営利活動法人日本小児循環器学会 Japanese Society of Pediatric Cardiology and Cardiac Surgery
Pediatric Cardiology and Cardiac Surgery 40(3): 193-203 (2024)
doi:10.9794/jspccs.40.193

ReviewReview

血流と心臓MRI 2D-Phase Contrast法Blood Flow and 2D-Phase Contrast CMR

1福岡市立こども病院 循環器科Department of Cardiology, Fukuoka Children’s Hospital ◇ Fukuoka, Japan

2福岡市立こども病院 放射線部Department of Radiology, Fukuoka Children’s Hospital ◇ Fukuoka, Japan

発行日:2024年8月1日Published: August 1, 2024
HTMLPDFEPUB3

心臓大血管MRI(CMR)の最大の特徴は,非造影・無被曝・無侵襲である.経時的に繰り返しの撮影が可能であり,成長に伴いエコーでの観察が難しくなっていく小児循環器領域にとても適した検査と言える.CMRは様々な撮影法を包含するが,そのなかでも2D-Phase Contrast(PC)CMRは他のmodalityにはない「任意関心領域の血流量を計測する」という特異な機能を有している.本稿ではこの2D-PC CMRについて解説する.基本原理と撮影の実際を前半に,臨床応用について幅広く後半に記載した.今後のさらなる臨床応用を期待したい.

The cardinal feature of cardiovascular magnetic resonance (CMR) imaging is its non-contrast, non-radiative, and non-invasive nature. CMR facilitates repeated imaging over time, which is particularly suitable for pediatric cardiology patients because echocardiography becomes increasingly challenging with patient growth. Among its various imaging techniques, two dimensional (2D)-Phase Contrast (2D-PC) CMR possesses a unique function unavailable in other modalities: it can measure blood flow in any region of interest. This article provides a detailed exposition of 2D-PC CMR. We first discuss the fundamental principles and practical aspects of scanning and then extensively discuss its clinical applications. Additional clinical applications of 2D-PC CMR hold great promise.

Key words: CMR; 2D-Phase Contrast; blood flow; hemodynamics; congenital heart disease; shunt

はじめに

循環器系の根源的な役割は臓器への酸素・栄養の運搬と組織潅流である.運搬物は多岐にわたるが,酸素運搬をその代表と考えることができる.我々がこのシステムを十分に作動しているか否かを判断するのは,十分な酸素運搬と組織還流がなされているか,という点からであり,これらを構成する一次因子である心拍出量,体血圧,中心静脈圧,酸素飽和度は普段から頻繁に用いられる.

2D-Phase Contrast(2D-PC)CMRは心血管の血流を評価するために広く用いられている非侵襲的画像診断法で,その基本原理は双極性のVelocity encoding gradientを用いて血液速度を磁気共鳴(Magnetic Resonance: MR)信号の位相(Phase)に置換するものである(Velocity encoding).得られたボクセル毎の速度情報を断面積と時間で積分し流量を算出する.すなわち循環評価に不可欠な心拍出量や逆流量,シャント血流量や臓器血流が網羅的に計測され,詳細な血行動態・病態の解析が可能となり治療方針策定に大きな力を発揮する.他稿にあるcine MRは血流を生み出す心室機能を詳細に評価できる撮影プロトコールであり,2D-PCと組み合わせて撮影・解析することできわめて詳細かつ精確な血行動態評価が可能となる.

本稿では2D-PC法の基本原理とその特性について解説し,臨床応用について具体例を交えながら紹介する.

Phase Contrast CMRの基本原理

歴史

核磁気共鳴(Nuclear Magnetic Resonance: NMR)の発見直後,1940年代後半に,Herman CarrとEdwin Purcellが,NMR信号は撮影対象の動きに影響を受けることを観察した1).1960年には,Erwin HahmがNMRを用いて海水の運動を記録した2).1970年代に磁気共鳴画像法(Magnetic Resonance Imaging: MRI)が発見された後,1980年代初頭に流れる血液が画像化された3–6).その後,心電図同期された時間分解Cardiovascular Magnetic Resonance Imaging (CMR)(cine CMR)がVelocity encoding技術と組み合わされ,血流の時間分解画像が得られるようになった7, 8).「位相コントラスト(PC: Phase Contrast)」という用語は,撮影対象の速度をMR信号の位相に置換する技術を指す.1980年代以降,PC CMRは血流の定量に広く使用され,現代ではすべてのCMRシステムに備わっている3, 9–12)

Flow(Velocity)encodingの一般的原則

2D-PC法の撮影ではFig. 1に示すように,Magnitude画像とPC画像の2つの画像が得られる.Magnitude画像は,心臓や血管などの構造物特性(質)を信号強度(明るさ)の強弱で表現したcine画像である.一方,Phase Contrast画像は双極性のVelocity encoding gradientを用いて,血液の動きをCMR信号の位相情報に変換して描出した画像である.PC画像の信号強度は血流速度に対応する位相−πからπまでの値で表される.この撮影方法では血液の動きは単一の方向に限定され,その方向にVelocity encoding gradientが適用される.

Pediatric Cardiology and Cardiac Surgery 40(3): 193-203 (2024)

Fig. 1 2D-PC CMR image set

2D cine Phase Contrast CMRの撮影

データ収集

実臨床で最も汎用されるのは,単一方向のVelocity encodingを用いた2D-PC CMRである.時間分解された拍動流を計測するために,データは複数の心拍周期にわたって取得される.単一画像フレーム(動画の1コマ)のデータ取得には通常240 ms以上は必要で,複数の心拍からの同一タイムフレーム(心拍周期の一部分)のデータを収集し演算処理にて再構築する13).タイムフレーム毎データを一心拍周期分すべて収集すれば撮影は完了する.得られる画像は一心拍あたりこのタイムフレーム数と同数のコマ数をもつ動画となる.例えばタイムフレーム数を20に設定すると,一心拍が20コマに分割された動画になる.この1コマ1コマにそのタイミングでのボクセル毎の速度情報が含まれているため,心周期全体にわたる血流速度を表示した一連の動画像が生成され,実際の断面の流れのパターンを白黒濃淡表示で視認でき,また流量測定が可能となる.

解像度とスキャン時間

2D-PC CMRは,スキャンに要する時間と空間的および時間的解像度の間で多くのトレードオフを有する.スキャンに際し考慮すべき設定用語を以下に概説する13)

  • スキャン時間(Tacq):息止め撮影では患者が息を止める時間より短くする必要があり,上限時間がおのずと決まる.息止めの難しい小児等では自由呼吸下で撮影するため厳しい時間制限は不要だが,鎮静時間短縮のため,画質の担保される最短時間に設定することが望ましい.加算回数を増やせば呼吸運動によるアーチファクトは減少するが,スキャン時間は延長する.
  • k-space lines(Ny): k-space lineの数を示す.これは画像を構成するために収集する必要のある生データラインの数で,空間的解像度に関与する.FoVが固定されている場合,この数(Ny)を増やすとスキャン時間(Tacq)が延長するが空間解像度が向上する.
  • Segments(NSeg): k-space segmentの数を示す.各心拍中に収集されるデータラインの数である.総スキャン時間Tacq=RR time×Ny/NSegであり,k-space segment数(Nseg)が大きくなると,Tacqは短縮されるが時間分解能も低下する.cine CMRでは完成動画のRR分割数の半数以下にNsegを設定すれば画質が担保されると経験的に考えられているが,2D-PC CMRについては不明確である.当院ではレトロスペクティブゲーティングを用いており1つのタイムフレーム持続時間(動画の1コマの担当時間,後述のΔt)を真の時間分解能と同等に撮影することを第一選択としているが,成人など心拍数が低い場合にセグメントを乳幼児のように小さく設定する(高時間分解能)と,一心拍あたりのデータ収集が大きくなり撮影時間が非常に長くなる.
  • 心拍タイムフレーム(Nphs):心周期内のタイムフレーム数(1心拍の分割数,phaseとも称される)を指す.1つのタイムフレームの持続時間はスキャンの時間分解能(Δt)で与えられる.例えばTR=5 msの場合,NSeg=4セグメントが取得されると,位相の持続時間=時間分解能Δt=2×5×4=40 msとなる.2倍とするのは単一方向Velocity encodingによるPhase Contrast画像を生成するために必要な2つのスキャンが考慮されているからである.

一定の繰り返し時間(TR)および心拍周期に対して,時間分解能(Δt),空間分解能(スライスごとのk-space line),および総取得時間Tacqの間でトレードオフを考慮して異なるイメージングプロトコルを構築する必要がある.セグメントの数NSegの選択が,時間分解能Δt=2×TR×NSegおよび総スキャン時間Tacq=RR time× Ny/NSegを決定する.典型的な測定パラメータ(空間分解能:1.5~2.5 mm,時間分解能:30~60 ms,スライス厚:5~8 mm)により,10秒から20秒の呼吸保持中に2D-PCデータを取得することができる13).スキャン時間と空間的および時間的解像度の関係は,患者の画像診断を行う際に基本的な考慮事項である.

速度エンコード感度(VENC)

Velocity encoding sensitivity(VENC)はユーザーが撮影毎に設定する重要なパラメータである.これは双極性Velocity encoding gradientの振幅と持続時間によって定義され,速度エイリアシングに遭遇することなく取得できる最大流速を表す.血流速がVENCより大きい場合,速度エイリアシングが発生する(Fig. 2).これは通常,正から負,もしくは負から正の速度への急激な変化として描出される(流れの反転アーティファクト;Figs. 2, 3).アンチエイリアシング補正機能を有するソフトウェアもあり,例えばVENC 150 cm/sで撮影した+150~−150 cm/sの範囲を+250~−50 cm/sにスライドすることでエイリアシングを解除することも可能である.この機能がない場合や流速が補正の範囲外の場合は,速度エイリアシングを避けるためにVENCを増加させて再撮影する.ただし,高いVENCを選択すると速度エイリアシングは減少するが,流速画像の速度ノイズは増加する14).理想的には,エイリアシングを回避するために必要なだけ高いVENCを選択すべきだが,速度ノイズを減少させるためには可能な限りVNECを低く保つ必要がある.血流が遅い場合,例えば静脈循環や遅い拡張期中には,VENCを減少させて正しく低い流速を評価する必要がある.小児では成人と比較して血流速度が大きいため,当院では動脈ではVENCを250 cm/sに,静脈では150 cm/sと設定している.実臨床においては250と150あるいはそれ以上でもあまり大きな計測誤差は生じない印象で,エイリアシングを回避するほうが重要である.

Pediatric Cardiology and Cardiac Surgery 40(3): 193-203 (2024)

Fig. 2 Differences in images due to differences in VENC

VENC, velocity encoding sensitivity

Pediatric Cardiology and Cardiac Surgery 40(3): 193-203 (2024)

Fig. 3 Differences in flow volume curves due to differences in VENC

VENC, velocity encoding sensitivity

速度エンコード方向Flow-encoding direction

CMRスキャナーは3つの直交磁場勾配(x, y, z)を備えており,目的の流れ方向に沿って双極性Velocity encoding gradientを切り替えることにより,任意方向に速度をエンコードすることができる.一般的には,x方向の磁場は患者の左から右へ,y方向の磁場は患者の前方から後方へ,z方向の磁場は頭部から足部へ向けられている.僧帽弁や上行大動脈に直交する形状のような斜めの方向には,双極磁場の組み合わせを同期して作動させる必要がある13)

MR画像の方向とフローエンコーディングの方向との関係を把握することも重要である.MR画像は断層スライスであり,2つの面内(in-plane)方向と1つの面貫通(through-plane)方向を持つ.フローエンコーディングは画像方向に対して平行(面内)または直交(面内)に行われ,それぞれ異なる用途がある.心拍出量や逆流量の計測を必要とするアプリケーションでは,フローエンコード方向と直交する方向(面内方向)に画像を設定する(through plane).

心拍ゲーティングと同期

2D-PC CMRデータ取得には心拍ゲーティングが必要である.プロスペクティブゲーティングとレトロスペクティブゲーティングの2つがあり,それぞれ利点と欠点を有する.いずれも生理的モニタリング装置が連続的に一心拍を検知する.ECGでのR波検知が一般的だが,不安定な場合脈波検知も可能である.

プロスペクティブゲーティング:セグメント数(NSeg)および時間分解能(Δt)に基づいて,心拍のタイムフレームの数(Nphs)が事前に決定される.R波から次のR波までNSegのk-space linesを収集する.タイムフレーム数Nphsが事前に決まっているため,スキャンはRR間隔の80~90%に限定され,スキャン途中にRR間隔が変化しても収縮期の重要な血流部分を均一の時間分解能で収集できる.また期外収縮に伴う急激なRR時間の縮小をスキップする機能もある.RR不整や期外収縮の多い症例に適合したゲーティングであるが,スキャンがRRの80~90%に限定されるため,拡張末期前後の血流データを取得できないという欠点を有する.肺動脈弁逆流や房室弁,静脈血流の重要な部分がスキャンされない可能性がある.

レトロスペクティブゲーティング:RR間隔100%のデータが連続的に収集される.この収集では再構築された心拍タイムフレーム(=phase, Nphs)と時間分解能(ΔT)の関係が解除される.ユーザーが心拍タイムフレーム数(Nphs)を設定すれば,一心拍が設定したタイムフレームのコマ数を持つ動画として撮影される.つまり見かけ上の時間分解能(動画の1コマが担う時間)=RR/Nphsであるが,真の時間分解能(ΔT=2×TR×NSeg)(1回の情報収集に要する時間)とは異なることに注意が必要である.前者は強制的に1心拍をコマ数で分割した時間のことである.真の時間分解能ΔTは用語の段で述べたように2×TR×NSegで表現される情報収集の時間分解能を意味する.レトロスペクティブゲーティングでは非常に大きなタイムフレーム数を指定しNSegを小さく設定することで,真に極めて高い時間分解能(動画のフレームレート)を達成できる可能性がある(RR時間100分割など).レトロスペクティブゲーティングの欠点は,RR間隔の変動に対処できないことである.不整脈のある症例では有効な1心拍あたりの流量が計測できないが,正常洞調律と不整脈が混じた状態であっても,撮影中の分時流量は原理的にも経験的にも算出できると考えられる.

2D-PC CMRの解析と後処理

流量の定量

対象血管に直交する断面で撮影された2D-PC画像を用いて,血流量および逆流量,最大流速などを定量する15–17).血流は血管断面積とそれを通過する単位時間あたり単位ボクセルあたりの総血液量から定量化する.この原理を使用すると,流速を血管断面積Aで積分したものに比例する流量dQ/dt(単位時間あたりの容積)が得られる: dQ(t) / dt = v(t)dA トータルの血流量は,1心拍周期にわたって積分された流量となる: Q= ( R R 0 )dQ / dt dt 撮像平面が血管に完全に直交していない場合,血管が円筒形構造であれば,断面積の増加と血流速度の減少が相殺され,顕著な流量変化はない.円筒形でない血管や細い血管であれば,血流と静止した背景組織の両者を含むボクセルが存在し,流量を過小評価する可能性がある(パーシャルボリューム効果).パーシャルボリューム効果を回避し,正確な流量を測定するためには,血管内腔を横切る少なくとも5–6ボクセルが必要であるとされる18, 19)

バリデーション研究

2D-PC CMRは,他の侵襲的・非侵襲的な血流定量化手法と広く検証され,現代では確立された技法として用いられる.最も初期のin vivoの検証では,ヒト健常成人において,大動脈1心拍流量とcine MR容積測定による左室1回拍出量が極めて高い相関(ICC0.97,p<0.001)と精度(SE 3.2 mL)を有することが示された10).これはヒト小児においても確認されている20).また,全身の血行動態を模したファントム21–24),ドップラー超音波25)や流体物理学(Navier-Stokes方程式)によるコンピュータモデル26, 27)との比較でもそれぞれ高い精度と再現性が示されている.臨床的には小児先天性心疾患でのQp/QsがFick法と高精度に一致した28–30)との報告や,大静脈31–35),左右肺動脈32, 35),左右肺静脈36, 37)など局所の血流量が正確に計測できるとされている.

石川ら20)はFLOW-11と称し,10箇所の血管および心内腔断面の2D-PC撮影から11箇所の血流量測定をルーチンに行い,健常小児において大動脈,主肺動脈,全大静脈,左右肺動脈,左右肺静脈,僧帽弁,三尖弁を通過する血流量が一致することを示した.

ただし,2D-PC CMRには,空間分解能と時間分解能における限界もあり,適切な撮影条件を設定できないと不正確な定量化となりうることを認識する必要がある.パーシャルボリューム効果を最小限にとどめるために,撮像面を血流ベクトルに正確に垂直に向けること,十分な面内分解能(<1.2×1.2 mm)で撮像すること,スライス厚<6 mmで撮像することが有効とされるが議論もある.

2D-PC CMRの臨床への適用

ガイドラインと正常値

SCMRをはじめとする米欧5学会共同の小児心臓病CMRガイドラインでは,先天性心臓病など小児心疾患へのCMRの適用指針が総論と疾患別に掲載されている38).2D-PC CMRは,心内・心外シャントの定量評価に推奨され(Class I Evidence level B),肺動脈弁逆流を精確に測定できる唯一のmodalityとされている.左右肺動脈血流比も計測でき,7 : 3を超える不均衡は肺動脈分枝への介入必要性を示すカットオフとしている39)

侵襲的なFick法と比較し,2D-PC CMRのさらなる利点として,QpとQsの測定が肺動脈と大動脈の流量評価に限定されないことも挙げられている.例えば,肺静脈および大静脈の流量を測定することでもQpとQsを定量化することが可能である.これらは特に(i)大動脈の一方で血流を測定することができない場合(例:金属を含む人工弁を持つ患者で肺動脈が見えにくい場合)および(ii)Fick法では算出不可能な場合,例えばびまん性の体肺側副血行を有するBDG循環,Fontan循環などの患者,で有効である.同一患者内で複数のQp・Qsを評価し血行動態を有機的に構築することで,Artifactsの生じやすい乱流部分や拡大した大動脈を有する症例であっても誤計測を排除し,生理と一致した合理的な解釈を得ることができる20, 38)

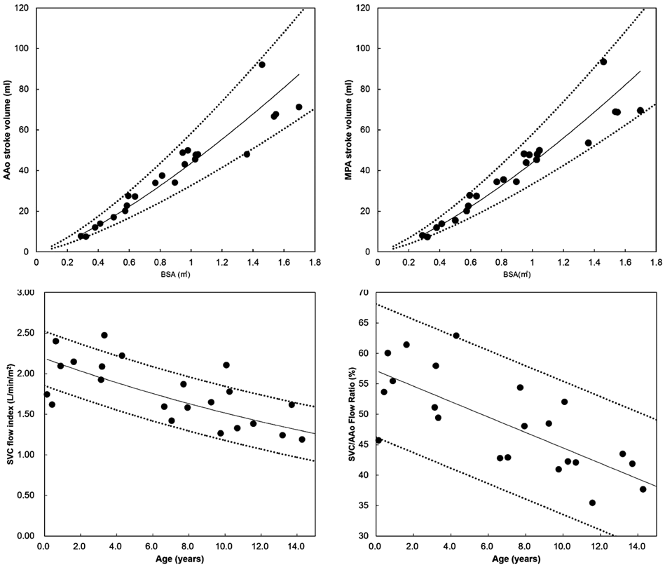
先に述べたFLOW-1120)では11箇所それぞれの血流量小児正常値が報告されている.どの部位の血流量も年齢に応じ増大するが,標準化した上大静脈血流や上大静脈血流/大動脈血流量比は年齢とともに低下し(Fig. 4),脳血流量が成長に伴い相対的に減少する.一方,左右肺肺動脈比(RPA/LPA flow)・肺静脈血流比(RPV/LPV flow)は年齢によらず1.19と一定とされる.Wuら40)は2D-PC CMRを用いて生後7か月から61歳までの上行大動脈・下行大動脈それぞれの通過血流正常値を報告した.4D flowを併用し脳血流も計測し,心拍出量(上行大動脈血流量)における脳血流の割合が年齢とともに減少すること示した.

Pediatric Cardiology and Cardiac Surgery 40(3): 193-203 (2024)

Fig. 4 Relation between age and AAo strokevolume, MPA stroke volume, SVC flow index, SVC/AAo flow ratio

AAo, Ascending Aorta; MPA, Main Pulmonary Artery; SVC, Superior Vena Cava

Flow-11の撮影と解釈

流量を計測したい血管の長軸2方向の断面画像から,血管に直交する断面を設定し撮影する.撮影条件や断面の設定については41),浦邊らの報告を参照されたい42).任意断面の信号強度を反映した動画(Magnitude画像:Fig. 1左)と血流速度を反映した位相差画像の動画(Phase Contrast画像:Fig. 1右)がセットで得られる.ソフトウェアを用いて個々の血管・弁口を断面上で囲う(ROI: Region of interestの設定)ことで,このROI部分を通過する1心拍分の血流量が順行性,逆行性,差し引きの量として計算・定量される(Fig. 3左下).我々の標準プロトコールでは原則10断面の撮影から11箇所の血流を計測し,この方式をFLOW-11と称している(Fig. 520, 43).上行大動脈(AAo),主肺動脈(MPA),上大静脈(SVC),下大静脈(IVC)(+下行大動脈(DAo)),左右肺動脈(LPA, RPA),左右肺静脈(LPV, RPV),僧帽弁(MV),三尖弁(TV)の11箇所である.疾患によってはアレンジすることもあるが,この10断面が撮影できていれば,一部不明瞭であっても基本的な血行動態を導くことが可能である20)

Pediatric Cardiology and Cardiac Surgery 40(3): 193-203 (2024)

Fig. 5 FLOW-11 measurement sites

シャントや逆流のない正常パターンでは,体血流は肺血流と一致するためAAo, SVC+IVC, MPA, RPA+LPA, RPV+LPV, MV, TVはいわゆるCardiac Indexとしてほぼ同一の値となる.厳密には冠動脈(静脈)血流を含むか否かで,前2つと後ろ5つは若干の差が生じるはずだが生理的および計測誤差に吸収される20).シャントにより肺血流量と体血流量が異なる場合,この10断面11箇所の流量計測で,シャントの部位と量が特異的に表現される.2D-PC CMRが最も有用なのは,複数シャントや左右肺動脈・肺静脈血流・上下半身血流に差があり心室バランスも微妙など,より複雑な血行動態の症例である.具体的な疾患別の流量評価も複数報告されている(cTGA+PS+VSD43), ASD44), VSD44), PDA44), Systemic RV+TR45), BDG+AVVR45), VSD rTOF46), ASD+PAPVC47), BDG47), ASD+PH48), TGA(III)+PH48)).

2D-PC CMRを用いて蓄積される知見(各flow撮影部位における)

上行大動脈(左室流出路,DKS吻合を含め)

上行大動脈血流量は2D-PC撮影において最も基本的な指標である.通常,心係数に該当し心機能や心不全重症度を反映する.動脈管や体肺側副血行,BTシャントなどの心外左右短絡を有する場合は体血流とシャント血流の総和になることに注意が必要である.値が異常に大きい場合は貧血や甲状腺機能亢進症などの内科的疾患のほか,動静脈瘻などのAVシャントも鑑別に挙がる.大動脈弁狭窄症など乱流がある場合は流量が不正確になるため,左室流出路での計測も考慮する.DKS吻合の場合,一断面でnative Ao,neo Aoそれぞれの流量や逆流率を算出でき,外科的介入の可否判断や介入効果判定に有用である.一方,Norwood術後などで瘤状に拡大した部位では折り返し血流等で値が不正確となりやすいことを意識する必要がある.

この部位の2D-PCで臨床的に汎用されるのは大動脈弁逆流(AR)評価であろう.心エコーはARの経時的観察を担う画像診断装置であるが,CMRによるAR定量と心エコーによる半定量的評価とを比較した11論文の系統的レビューによると,ST junction,大動脈弁での2D-PCを用いた逆流量は高い感度と特異度で手術に進む患者を正確に予測した49).同様にAHA/ACCガイドラインは,心エコーでは評価が難しい中等度から重度AR患者におけるARの定量化と,LV容積・収縮能評価としてCMRを推奨している50)

上大静脈下大静脈下行大動脈

SVC, DaoはAAoと同一断面で撮影でき,形態も一様で層流のことが多く,もっとも正確に流量が計測できる部位と考えられる.IVCは肝静脈が合流し右房に接続する直前で背側から腹側に屈曲するため,呼吸性変動が大きい自由呼吸下ではアーチファクトを生じやすい.FLOW-11ではIVC撮影断面でDAoも計測するが,奇静脈系が目立たず体肺側副血行(APCA)も少ない場合には,IVCとDAoの血流量の比較で整合性を検証できる.これらの部位も臨床や研究によく用いられるSVC+IVCはAoと異なりAPCAがあってもQsを反映する38).また,BDG循環やFontan循環ではAo−(SVC+IVC)としてAPCAの流量測定が可能である51)

主肺動脈(肺動脈弁)左右肺動脈

MPA(肺動脈弁)血流量は肺動脈弁逆流評価のゴールドスタンダードとされる.ESCガイドライン202052)では右室流出路および主肺動脈への外科的介入の必要条件として逆流率が30~40%より大きいことを挙げている.同様に2018AHAガイドライン53)ではPR中等度以上を必要条件としているが,逆流率としては25%以上と解されている54).重度の肺動脈弁逆流を有する症例では右室流出路拡大例も多く,乱流成分増大から血流量誤差が大きくなる場合があり,単独評価で逆流率数値を鵜呑みにすることは危険である.FLOW-1120)で示した如く,他部位の血流量や容積変化との整合性まで検証するべきである.誤差が大きい場合や計測不可能な場合は左右肺動脈血流の総和から逆流率を算出する方法もある.一方,肺動脈に狭窄部位があると狭窄以遠は乱流となるため,2D-PCによる評価が困難となる.狭窄より近位の層流部分での撮影が望ましいが,不可能な場合は左右の肺静脈血流量やFLOW-1120)での検証が流量の推測に役立つ.

左右肺静脈

左右肺静脈の2D-PCによる血流量測定は古くから行われ36, 37),健常例では左右肺動脈血流や心係数との整合性も確認されている20).断面の設定がやや難しいが,撮影さえできればSVC同様基本的に層流であり計測誤差は小さい.上述の如く,左右肺血流が計測困難な症例では左右肺静脈血流が有用である.BDG循環やFontan循環のようにびまん性の体肺短絡側副血行を有する症例ではRPV+LPV−(RPA+LPA)で体肺短絡血流を求めることができる51)

僧帽弁(左室流入路),三尖弁(右室流入路),共通房室弁(単心室流入路)

僧帽弁(MV)

LV inflow(左室流入血流量)の測定は正確に測定でき,容積計測で求めた1回拍出量との整合性が検証できる20).僧帽弁逆流量の2D-PC法による直接測定(Direct method)は,逆流ジェットの位置や向きが一様でないため誤測が生じやすい.そこで,CMRでのMR定量はIndirect method55)と称される方法が用いられる.cine MRでの容積測定で求めた左室1回拍出量から2D-PCで測定した大動脈血流を差し引く算出法で,複数の数式があるが確立した技法である56).逆流ジェットの流向や数に依存せずに逆流量・率の定量が可能で,再現性が極めて高い56).2Dおよび3Dエコーによる定量評価に勝り56),術後のリバースリモデリング57)や予後58)を予測できることが判明し,近年その重要性がより高くなった.

三尖弁(TV)

MV同様,RV inflow(右室流入血流量)を正確に計測可能で,右室拍出量との整合性を検証できる20).MR同様TRも予後に悪影響を及ぼすことが示されている.Indirect methodで計測した逆流量と逆流率の両者とも,RV駆出率を含む共変量調整後の死亡率増加と相関する.TRの量・率が増加すると死亡リスクも増大し,逆流量45 mL以上(HR2.26)もしくは逆流率50%以上(HR2.60)がハイリスクとされる59).ただPAHなど併存疾患や右室機能により変化するため明確な手術適応は定まっていない.

共通房室弁(CAVV)

CAVVやMVともTVとも判別しがたい不定型の房室弁に関する2D-PCを用いた流量評価の報告は見あたらない.しかし原理的にはどのような房室弁であっても上述のIndirect methodであれば逆流量の計測が可能である.BDG循環の房室弁逆流の定量報告もある45).右心バイパス循環での房室弁逆流に対する外科的介入適応基準ははっきりしていないが体心室房室弁でありMRに準じた手術適応基準が想定され,2D-PC(Indirect method)が有用と考えられる.

その他の部位・運用

脳血流

2C-PCは任意血管の血流量を正確に計測できるため,心大血管に留まらず,その一次分枝や臓器の主要動静脈の血流量を計測できる.一般に脳血流量は頸動脈に2D-PCを適用し計測される.脳潅流と同時に評価されることが多い.加齢に伴う減少41, 60)や白質病変増大との相関1),心房細動の電気的除細動により改善する61)ことなど多くの研究に用いられる.FLOW-11の1つであるSVC flowは上半身血流を反映するが,上半身の最重要臓器である脳血流と読み取ることも可能である20)

肝血流

2D-PCを用いた肝血流定量は門脈62, 63),腹腔動脈63),上腸間膜動脈64),肝動脈64),肝静脈64)など測定部位は統一されていないが,Fontan循環における肝血流と病態との比較がなされる.脳血流と異なりFLOW-11では評価困難なため,あらかじめ上記の血管断面を2D-PCにて撮影する必要がある.

ステント

ステントはどのような材質であっても磁性を有し2D-PCでもartifactsとして描出される.ファントムを用いた実験では,ナイチノールステントであれば内部の血流を2D-PCで計測できる,という報告65)がある一方,ステンレス,ナイチノール,プラチナ・イリジウムいずれの材質のステントでも,内部での計測は過小評価となり,1 cm離せば近位でも遠位でも正確に計測できる,という報告66)もある.血管サイズによるが,おそらくほとんどの場合でステント内部での血流計測は過小評価になると思われる.

運動負荷と2D-PC

運動負荷CMRは運動に伴う局所血流量や心機能の変化を定量できる,近年注目される画像診断法である.負荷はスキャナーボア外トレッドミルもしくはボア内装置(仰臥位エルゴメータやステッパー,ハンドグリップなど)を用いられてきた67)が,現在は仰臥位エルゴメータが好まれる.対象疾患は冠動脈疾患,弁膜症,肺高血圧,糖尿病性心疾患や先天性心疾患などに及ぶ67).運動負荷2D-PC CMRが最初に報告されたのはおそらく1995年で,健常ボランティア10人の下行大動脈血流量を計測した68).検査難度が高く時間・空間分解能が臨床で用いる基準には遠かったため,その後も研究的なデータが少しずつ積み重ねられてきた67).近年,スキャン装置や情報処理技術,負荷装置の改良など技術革新に伴い実用に耐える検査となり,Fontan循環69–71)やファロー四徴症術後72)などに適用した報告がある.

終わりに

2D-PC CMRによる血流イメージングは非侵襲的に人体の循環動態を特徴づける特異なツールである.撮影原理として双極性傾斜磁場を用い,位相情報が速度情報に置換されることを知っておくべきである.また,スキャン時間は空間・時間分解能とのトレードオフで,体格や病態に応じ適切な精度の情報を最短時間で収集できるよう設定を工夫することも重要である.

2D-PC CMRは多様に臨床展開されているが,cineなど他のプロトコールと組み合わせることで極めて詳細な病態評価が可能となる.典型的な応用は,弁逆流の重症度,心内シャント,右心バイパス循環や臓器血流の評価である.4D flowも実際は三方向の2D-PC画像の再構築であり,基本原理は2D-PCと同一である.原理やポテンシャルにまだまだ実用が追いついていない部分もあり,今後も多くの活用が期待される.

利益相反

本稿について,開示すべき利益相反はありません.

引用文献References

1) Carr HY, Purcell EM: Effects of diffusion on free precession in nuclear magnetic resonance experiments. Phys Rev 1954; 94: 630–638

2) Hahn E: Detection of sea water motion by nuclear precession. J Geophys Res 1960; 65: 776–777

3) Nayler GL, Firmin DN, Longmore DB: Blood flow imaging by cine magnetic resonance. J Comput Assist Tomogr 1986; 10: 715–722

4) Moran PR: A flow velocity zeugmatographic interlace for NMR imaging in humans. Magn Reson Imaging 1982; 1: 197–203

5) Bryant DJ, Payne JA, Firmin DN, et al: Measurement of flow with NMR imaging using a gradient pulse and phase difference technique. J Comput Assist Tomogr 1984; 8: 588–593

6) van Dijk P: Direct cardiac NMR imaging of heart wall and blood flow velocity. J Comput Assist Tomogr 1984; 8: 429–436

7) Pelc NJ, Herfkens RJ, Shimakawa A, et al: Phase contrast cine magnetic resonance imaging. Magn Reson Q 1991; 7: 229–254

8) Chai P, Mohiaddin R: How we perform cardiovascular magnetic resonance flow assessment using phase-contrast velocity mapping. J Cardiovasc Magn Reson 2005; 7: 705–716

9) Bryant DJ, Payne JA, Firmin DN, et al: Measurement of flow with NMR imaging using a gradient pulse and phase difference technique. J Comput Assist Tomogr 1984; 8: 588–593

10) Firmin DN, Nayler GL, Klipstein RH, et al: In vivo validation of MR velocity imaging. J Comput Assist Tomogr 1987; 11: 751–756

11) Moran PR: A flow velocity zeugmatographic interlace for NMR imaging in humans. Magn Reson Imaging 1982; 1: 197–203

12) Feinberg DA, Crooks LE, Sheldon P, et al: Magnetic resonance imaging the velocity vector components of fluid flow. Magn Reson Med 1985; 2: 555–566

13) Witschey W, Markl M: 6. Blood flow and phase contrast CMR, in Lombqrdi M (ed): The EACVI Textbook of Cardiovascular Magnetic Resonance. First edition. United States of America, Oxford University Press, 2018, pp146–163

14) Andersen AH, Kirsch JE: Analysis of noise in phase contrast MR imaging. Med Phys 1996; 23: 857–869

15) Carfo J, Bière L, Trebuchet G, et al: Applications of phase-contrast velocimetry sequences in cardiovascular imaging. Diagn Interv Imaging 2012; 93: 159–170

16) Lew CD, Alley MT, Bammer R, et al: Peak velocity and flow quantification validation for sensitivityencoded phase-contrast MR imaging. Acad Radiol 2007; 14: 258–269

17) Pelc NJ: Flow quantification and analysis methods. Magn Reson Imaging Clin N Am 1995; 3: 413–424

18) Tang C, Blatter DD, Parker DL: Accuracy of phase-contrast flow measurements in the presence of partial-volume effects. J Magn Reson Imaging 1993; 3: 377–385

19) Hofman MB, Visser FC, van Rossum AC, et al: In vivo validation of magnetic resonance blood volume flow measurements with limited spatial resolution in small vessels. Magn Reson Med 1995; 33: 778–784

20) Ishikawa Y, Urabe H, Yamada Y, et al: Normal ventricular and regional blood flow volumes and native T1 values in healthy Japanese children obtained from comprehensive cardiovascular magnetic resonance imaging. Int Heart J 2023; 64: 663–671

21) Evans AJ, Iwai F, Grist TA, et al: Magnetic resonance imaging of blood flow with a phase subtraction technique. In vitro and in vivo validation. Invest Radiol 1993; 28: 109–115

22) Greil G, Geva T, Maier SE, et al: Effect of acquisition parameters on the accuracy of velocity encoded cine magnetic resonance imaging blood flow measurements. J Magn Reson Imaging 2002; 15: 47–54

23) Muthurangu V, Taylor A, Andriantsimiavona R, et al: Novel method of quantifying pulmonary vascular resistance by use of simultaneous invasive pressure monitoring and phase-contrast magnetic resonance flow. Circulation 2004; 110: 826–834

24) Bock J, Frydrychowicz A, Lorenz R, et al: In vivo noninvasive 4D pressure difference mapping in the human aorta: phantom comparison and application in healthy volunteers and patients. Magn Reson Med 2011; 66: 1079–1088

25) Powell AJ, Maier SE, Chung T, et al: Phase-velocity cine magnetic resonance imaging measurement of pulsatile blood flow in children and young adults: in vitro and in vivo validation. Pediatr Cardiol 2000; 21: 104–110

26) Frayne R, Steinman DA, Ethier CR, et al: Accuracy of MR phase contrast velocity measurements for unsteady flow. J Magn Reson Imaging 1995; 5: 428–431

27) Casas B, Lantz J, Dyverfeldt P, et al: 4D flow MRI-based pressure loss estimation in stenotic flows: Evaluation using numerical simulations. Magn Reson Med 2016; 75: 1808–1821

28) Beerbaum P, Körperich H, Barth P, et al: Noninvasive quantification of left-to-right shunt in pediatric patients: Phasecontrast cine magnetic resonance imaging compared with invasive oximetry. Circulation 2001; 103: 2476–2482

29) Debl K, Djavidani B, Buchner S, et al: Quantification of left-to-right shunting in adult congenital heart disease: Phase-contrast cine MRI compared with invasive oximetry. Br J Radiol 2009; 82: 386–391

30) Hundley WG, Li HF, Lange RA, et al: Assessment of left-to-right intracardiac shunting by velocity-encoded, phase-difference magnetic resonance imaging: A comparison with oximetric and indicator dilution techniques. Circulation 1995; 91: 2955–2960

31) Mohiaddin RH, Wann SL, Underwood R, et al: Vena caval flow: Assessment with cine MR velocity mapping. Radiology 1990; 177: 537–541

32) Lotz J, Meier C, Leppert A, et al: Cardiovascular flow measurement with phase-contrast MR imaging: Basic facts and implementation. Radiographics 2002; 22: 651–671

33) Hjortdal VE, Emmertsen K, Stenbøg E, et al: Effects of exercise and respiration on blood flow in total cavopulmonary connection: A real-time magnetic resonance flow study. Circulation 2003; 108: 1227–1231

34) Kuzo RS, Pooley RA, Crook JE, et al: Measurement of caval blood flow with MRI during respiratory maneuvers: Implications for vascular opacification on pulmonary CT angiographic studies. AJR Am J Roentgenol 2007; 188: 839–842

35) Kellenberger CJ, Yoo SJ, Buchel ER: Cardiovascular MR imaging in neonates and infants with congenital heart disease. Radiographics 2007; 27: 5–18

36) Goo HW, Al-Otay A, Grosse-Wortmann L, et al: Phase-contrast magnetic resonance quantification of normal pulmonary venous return. J Magn Reson Imaging 2009; 29: 588–594

37) Valsangiacomo ER, Barrea C, Macgowan CK, et al: Phase-contrast MR assessment of pulmonary venous blood flow in children with surgically repaired pulmonary veins. Pediatr Radiol 2003; 33: 607–613

38) Fogel MA, Anwar S, Broberg C, et al: Society for Cardiovascular Magnetic Resonance/European Society of Cardiovascular Imaging/American Society of Echocardiography/Society for Pediatric Radiology/North American Society for Cardiovascular Imaging Guidelines for the use of cardiac magnetic resonance in pediatric congenital and acquired heart disease: Endorsed by The American Heart Association. Circ Cardiovasc Imaging 2022; 15: e014415

39) Fratz S, Hess J, Schwaiger M, et al: More accurate quantification of pulmonary blood flow by magnetic resonance imaging than by lung perfusion scintigraphy in patients with fontan circulation. Circulation 2002; 106: 1510–1513

40) Wu C, Honarmand AR, Schnell S, et al: Age-related changes of normal cerebral and cardiac blood flow in children and adults aged 7 months to 61 years. J Am Heart Assoc 2016; 5: e002657

41) Kramer CM, Barkhausen J, Bucciarelli-Ducci C, et al: Standardized cardiovascular magnetic resonance imaging (CMR) protocols: 2020 update. J Cardiovasc Magn Reson 2020; 22: 17

42) 浦邊裕亮:当院における心臓MRIのFLOW断面設定.日小児放射線技術2020; 45: 35–40

43) 石川友一:心臓MRI.日小児循環器会誌2016; 32: 291–306

44) 石川友一:2D-PC法を用いた先天性心疾患の血行動態評価.臨床画像2023; 39: 670–678

45) 石川友一:ACHD診療にCMRを役立てる.循環器内科2022; 91: 95–101

46) 石川友一,寺島正浩:先天性心疾患をMRIでみる—PC法による機能・血行動態評価—.心エコー2015; 16: 552–559

47) 石川友一:成人先天性心疾患に必要なCT, MR診断.Heart View 2017; 21: 474–483

48) 石川友一:目でみる肺高血圧症—先天性心疾患に伴う肺高血圧症における心臓MRI—.Pulmonary Hypertension Update 2017; 3: 4–9

49) Lee JC, Branch KR, Hamilton-Craig C, et al: Evaluation of aortic regurgitation with cardiac magnetic resonance imaging: A systematic review. Heart 2018; 104: 103–110

50) Nishimura RA, Otto CM, Bonow RO, et al: 2017 AHA/ACC Focused Update of the 2014 AHA/ACC Guideline for the Management of Patients With Valvular Heart Disease: A Report of the American College of Cardiology/American Heart Association Task Force on Clinical Practice Guidelines. J Am Coll Cardiol 2017; 70: 252–289

51) Whitehead KK, Gillespie MJ, Harris MA, et al: Noninvasive quantification of systemic-to-pulmonary collateral flow: A major source of inefficiency in patients with superior cavopulmonary connections. Circ Cardiovasc Imaging 2009; 2: 405–411

52) Baumgartner H, De Backer J, Babu-Narayan SV, et al: ESC Scientific Document Group: 2020 ESC Guidelines for the management of adult congenital heart disease. Eur Heart J 2021; 42: 563–645

53) Stout KK, Daniels CJ, Aboulhosn JA, et al: 2018 AHA/ACC Guideline for the Management of Adults With Congenital Heart Disease: Executive Summary: A Report of the American College of Cardiology/American Heart Association Task Force on Clinical Practice Guidelines. J Am Coll Cardiol 2019; 73: 1494–1563

54) Geva T: Indications for pulmonary valve replacement in repaired tetralogy of Fallot: The quest continues. Circulation 2013; 128: 1855–1857

55) Hundley WG, Li HF, Willard JE, et al: Magnetic resonance imaging assessment of the severity of mitral regurgitation: Comparison with invasive techniques. Circulation 1995; 92: 1151–1158

56) Uretsky S, Argulian E, Narula J, et al: Use of cardiac magnetic resonance imaging in assessing mitral regurgitation: Current evidence. J Am Coll Cardiol 2018; 71: 547–563

57) Uretsky S, Gillam L, Lang R, et al: Discordance between echocardiography and MRI in the assessment of mitral regurgitation severity: A prospective multicenter trial. J Am Coll Cardiol 2015; 65: 1078–1088

58) Myerson SG, d’Arcy J, Christiansen JP, et al: Determination of clinical outcome in mitral regurgitation with cardiovascular magnetic resonance quantification. Circulation 2016; 133: 2287–2296

59) Zhan Y, Debs D, Khan MA, et al: Natural history of functional tricuspid regurgitation quantified by cardiovascular magnetic resonance. J Am Coll Cardiol 2020; 76: 1291–1301

60) Han H, Lin Z, Soldan A, et al: Longitudinal changes in global cerebral blood flow in cognitively normal older adults: A phase-contrast MRI study. J Magn Reson Imaging 2022; 56: 1538–1545

61) Gardarsdottir M, Sigurdsson S, Aspelund T, et al: Improved brain perfusion after electrical cardioversion of atrial fibrillation. Europace 2020; 22: 530–537

62) Lam CZ, David D, Acosta Izquierdo L, et al: MRI phase-contrast blood flow in fasting pediatric patients with Fontan circulation correlates with exercise capacity. Radiol Cardiothorac Imaging 2022; 4: e210303

63) Caro-Dominguez P, Chaturvedi R, Chavhan G, et al: Magnetic resonance imaging assessment of blood flow distribution in fenestrated and completed Fontan circulation with special emphasis on abdominal blood flow. Korean J Radiol 2019; 20: 1186–1194

64) Abbasi Bavil E, Yang HK, Doyle MG, et al: Cardiovascular and abdominal flow alterations in adults with morphologic evidence of liver disease post Fontan palliation. Int J Cardiol 2020; 317: 63–69

65) Rengier F, Delles M, Weber TF, et al: In vitro validation of flow measurements in an aortic nitinol stent graft by velocity-encoded MRI. Eur J Radiol 2011; 80: 163–167

66) Avitabile CM, Harris MA, Doddasomayajula RS, et al: Accuracy of phase-contrast velocity mapping proximal and distal to stent artifact during cardiac magnetic resonance imaging. Am J Cardiol 2018; 121: 1634–1638

67) Craven TP, Tsao CW, La Gerche A, et al: Exercise cardiovascular magnetic resonance: Development, current utility and future applications. J Cardiovasc Magn Reson 2020; 22: 65

68) Mohiaddin RH, Gatehouse PD, Firmin DN: Exercise-related changes in aortic flow measured with spiral echo-planar MR velocity mapping. J Magn Reson Imaging 1995; 5: 159–163

69) Wei Z, Whitehead KK, Khiabani RH, et al: Respiratory effects on Fontan circulation during rest and exercise using real-time cardiac magnetic resonance imaging. Ann Thorac Surg 2016; 101: 1818–1825

70) Mkrtchyan N, Frank Y, Steinlechner E, et al: Aortopulmonary collateral flow quantification by MR at rest and during continuous submaximal exercise in patients with total cavopulmonary connection. J Magn Reson Imaging 2018; 47: 1509–1516

71) Latus H, Hofmann L, Gummel K, et al: Exercise-dependent changes in ventricular-arterial coupling and aortopulmonary collateral flow in Fontan patients: A real-time CMR study. Eur Heart J Cardiovasc Imaging 2022; 24: 88–97

72) Steinmetz M, Stümpfig T, Seehase M, et al: Impaired exercise tolerance in repaired tetralogy of Fallot is associated with impaired biventricular contractile reserve: An exercise-stress real-time cardiovascular magnetic resonance study. Circ Cardiovasc Imaging 2021; 14: e011823

This page was created on 2024-10-23T15:15:02.287+09:00
This page was last modified on 2024-12-23T17:27:55.000+09:00


このサイトは(株)国際文献社によって運用されています。