Online ISSN: 2187-2988 Print ISSN: 0911-1794
特定非営利活動法人日本小児循環器学会 Japanese Society of Pediatric Cardiology and Cardiac Surgery
Pediatric Cardiology and Cardiac Surgery 41(1): 20-27 (2025)
doi:10.9794/jspccs.41.20

ReviewReview

小児および先天性心疾患における心エコーの基本と一般的な計測Fundamentals of Echocardiography in Children and Congenital Heart Disease

福岡市立こども病院循環器科Division of Pediatric Cardiology, Fukuoka Children’s Hospital ◇ Fukuoka, Japan

発行日:2025年2月28日Published: February 28, 2025
HTMLPDFEPUB3

循環器診療には様々な画像診断が用いられるが,そのなかでリアルタイムに心臓を観察できるのは心エコー検査だけである.救急の現場から診断,治療適応と効果の判定,さらに周術期管理など,どのタイミングでも心エコー検査なくては診療が成立しない.近年では形態診断のみならず機能解析の方法が確立され,その重要度が増している.一方で,疾患や血行動態そのものと心エコー検査の特性を理解していなければ,その有用性を活用できないばかりか治療方針を誤誘導することもある.本稿では,心エコー検査の基礎として超音波の特性を知り機器の適切な設定をすること,基本断面と基本計測を中心とした検査手技を身につけること,成長する小児にとって重要な正常値の定義を確認すること,先天性心疾患と血行動態の知識を身につけそれぞれに応じた検査を行うことについて,日常臨床の視点から概説する.

Echocardiography is a powerful diagnostic tool that can provide real-time cardiac evaluation. This modality can be used at anytime and anywhere, from the bedside to the operating room. Treatment decisions frequently rely on the results of echocardiographic evaluations, because, inaccurate results may lead in the wrong direction. Recently, methods for not only morphological diagnosis but also functional analysis have been established. Although these indicators are also used in children, the features of pediatric echocardiography include the changes in normal values due to growth and a wide spectrum of cardiac anatomy. This study provides an overview of pediatric echocardiography from a daily clinical perspective.

Key words: echocardiography; normal regression formula; congenital heart disease

はじめに

心エコー検査は被ばくなどの侵襲性がなくリアルタイムの観察を繰り返し施行できることから,循環器診療では汎用される検査である.近年では形態診断のみならず機能診断としての役割も確立され,“聴診器のように”と称されることもある.小児領域では先天性心疾患でさらにその有用性は高く,スクリーニングから診断,治療方針の決定などありとあらゆる場面に用いられる1)

近年の心エコー機の普及と進歩により,どこでも誰にでもある程度の画質で検査することが可能になった.一方で検者の主観と技術力が反映されやすい検査であるがゆえに,正確な検査が行われなければ診断や治療方針を誤った方向に導く危険性もある.検者は常に客観性・再現性のある検査を心がけ,心エコー検査のみならず疾患と病態を理解しておく必要がある.

超音波の基礎

超音波とは一般的に人の耳に聞こえない程度の高い周波数の音波とされ,この超音波が持つ特性が種々の検査に利用されている.主な特性は反射,屈折,減衰などであり,その程度は超音波の周波数と通過する組織によって規定される.心エコー検査をはじめとする超音波画像では,機器から発した超音波が組織の境界で生じる反射波を利用して画像を構築している.周波数が高いほど進行方向の解像度である距離分解能が向上するが,減衰の影響を受けるため深部まで届きにくい.心エコー検査で用いられる周波数は2~20 MHz程度であり,観察対象まで減衰せずに到達することが可能な限り,より高い周波数のほうが良好な画像が得られることになる.

超音波の動的特性としてドプラ効果がある.これは音源が動いている場合に,音源から発生した超音波がある地点に到達するときに元の周波数から偏位する現象である.ドプラ法ではこのドプラ効果を用いて血液や組織の動く速度と方向を求めることができる.超音波の送信法や画像処理法により,パルスドプラ法,連続波ドプラ法,カラードプラ法,組織ドプラ法がある.

心エコー機の設定

心エコー機で行われるのは,超音波を発生させ送受信すること,受診した超音波を変換して画像表示することである.これらの設定の工夫により精度の高い画像を得ることができるが,近年の心エコー機の画像最適化技術の進歩は目覚ましく,ほぼ調整をせずとも一定の画質が得られるようになっている.とはいえ以下のポイントを理解してあらかじめ施設ごとのプリセットを作り,さらに得られた画像ごとに常に調整し続けることで,より美しく正確な画像を記録することができる.

周波数

現在用いられる多くの探触子は広帯域の周波数を送受信でき,さらに機器上で中心周波数を変更できる.小児では観察対象が成人に比べて探触子に近いため,高い周波数で距離分解能のよい画像を得られる利点を活かすべく高周波探触子を使用するが,同じ体格でも最適な周波数帯域は症例により異なるため複数を比べて選択するのがよい.ハーモニックイメージング法は超音波が伝搬する際に生じる送信周波数の倍音成分のうちの主に第2高調波を利用した技術であり,ノイズの低減や輪郭の描出に有用である.

フレームレート

フレームレートとは,1秒間に何枚の画像を作るか,つまり1秒間に対象範囲に超音波を何回送信できるかの指標であり時間分解能と称される.フレームレートが高いほどリアルタイムに対象の動きを表現することが可能となり,対象範囲が広く深度が深くなるとフレームレートが遅くなることから,適切な観察範囲の設定を行う.カラードプラ法を用いるとフレームレートはかなり遅くなるが,カラードプラと同時表示される断層像のフレームレートも低下しているため注意が必要である.

フォーカス

フォーカスとは,焦点距離を変えることにより関心領域の画像鮮明度を高める機能である.最近ではマルチフォーカスの機能を備えている機器もあり,どの深さでも鮮明な画像を得ることができる.

画像表示

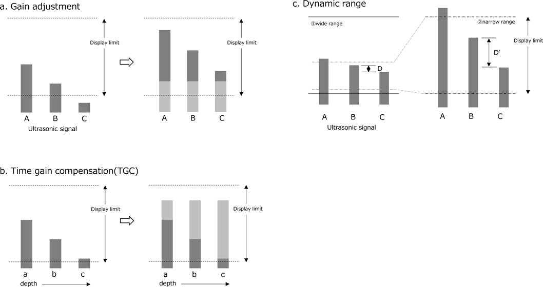
機器に表示される画像は送信した超音波の反射波を利用している.全体に信号が弱い場合にはゲインを上げると信号強度が上がり画像全体が白くなる.これは信号全体に一定の信号強度を足し引きする調整である(Fig. 1a).一方で,タイム・ゲイン・コントロール(TGC)は深度ごとにゲインを調整できる機能であり,深部から反射してくる超音波が減衰により信号強度が落ちる影響を補うことができる(Fig. 1b).ダイナミックレンジは信号強度の違いを強調する機能であり,広げる(Fig. 1c ①wide range)と音響エネルギーの高いものから低いものまでを表示するため各信号間の差が弱まりコントラストの弱い柔らかい印象の画像となる.狭くする(Fig. 1c ②narrow range)と音響エネルギーの高いものは飽和する一方で低いものは表示されなくなるとともに,それぞれの差が増幅(D→D′)するため,壁の境界などが強調されるコントラストの強い硬い印象の画像となる.一般的に冠動脈などの血管系の測定や心内腔の描出にはダイナミックレンジを狭くしたほうが壁の境界を視認しやすくなる.また信号強度のどの部分をより強調するかも設定可能であるが各社で呼称が異なる.これらの複数要素を組み合わせた自動調節機能で画像の好みを容易に反映させられるような設定もあるが,いずれもどの要素を調整しているかを確認しておくとよい.

Pediatric Cardiology and Cardiac Surgery 41(1): 20-27 (2025)

Fig. 1 Setting method

a. Gain adjustment. b. Time gain compensation (TGC). c. Dynamic range ①wide range ②narrow range.

心エコー検査は一般に暗室で記録され,機器には高精度モニターが備えられていることが多い.また電子カルテなどに画像が送信される際にデータが圧縮されていることもある.記録中には適切と思われた画像がその他の媒体で確認した際に不十分な画質となることがあるため,記録時と視聴時それぞれの環境で確認しモニター画面の調整をしておく.

心エコー検査の実際

心エコー検査は主な音響窓である心窩部,傍胸骨,心尖部,胸骨上窩などに探触子を当てることで観察対象に対して超音波を送受信して画像が得られる.軟部組織との音響インピーダンスの差が大きくなる骨のような構造物が観察対象の手前にあると,送信された超音波の大部分が反射されその後方へ到達する超音波が非常に少なくなるため,胸腔内にある心臓に対する良好な音響窓は骨を避けた部位に限られてくる.基本的な観察体位は仰臥位,左側臥位,右側臥位,頭部後屈位があり,タオルや背あてなどで体位を安定させる.探触子の持ち方には個人差があるが,親指と中指を中心に人差し指・薬指で探触子を持ち,小指と薬指を軽く胸壁に当てておくことで安定する.強く押し付ける必要はなく,呼吸に合わせる意識で柔らかい操作を心がける.探触子の操作には,接触面を“平行に移動する(sliding)”,接触面を移動せずに“傾きを変える(tilting)”,“回転させる(rotating)”がある.これらは無意識に組み合わせながら行っている操作であるが,それぞれの操作と心臓構造の軸を意識するとより理論的な画像描出のコツを身につけることができる.

検査に協力的でない幼児では動画視聴や玩具などの準備が役立つことがある.鎮静下に検査を行う際にはモニタリングと緊急時対応の準備が必須であり,検査に集中するあまり患者の観察を怠ってはならない.また,思春期の患者では心エコー検査への抵抗感が大きい場合もあり,年齢に応じた配慮が必要である.

基本断面

心エコー検査では任意の断面で画像を得られることが利点であるが,検者独自の画像のみでは共通の理解を得ることができない.一般的な基本断面の中でも傍胸骨左室長軸断面,心尖部四腔断面,傍胸骨左室短軸断面を正確に記録することで,基本的な形態ならびに病態診断が可能である(Fig. 2).傍胸骨左室長軸断面では心室中隔から上行大動脈前壁と左室後壁から左房後壁を同心円状に,つまり心室中隔から上行大動脈前壁が画面に水平になるように描出する.この断面から探触子を傾けることで右室流入路長軸断面と右室流出路長軸断面がえられる.心尖部四腔断面では,左室左房が最長となり,かつ心尖部の壁厚増加がなく,僧帽弁と三尖弁がきれいに開放する断面を描出する.探触子を傾けると心尖部五腔像,探触子を反時計方向へ60から90度回転すると心尖部二腔像,120度まで回転すると心尖部長軸像がえられる.また,心尖部四腔断面から探触子を外側に移動させ右室内腔を最大になるように描出すると右室焦点四腔断面像が,逆に胸骨側に移動させると修正右室焦点四腔断面像が得られる.傍胸骨左室短軸断面では大血管位,僧帽弁口位,乳頭筋位,心尖位を記録するが,まず僧帽弁口位を弁口の開閉がバランスよく明瞭に見える断面で描出し,そこから傾きを調整しながら移動させることで大動脈弁がきれいに開口する大血管位,2つの乳頭筋をバランスよく描出する乳頭筋位が得られる.基本的に,左側にある心臓の心尖部断面,短軸断面,長軸断面の観察には,年齢によらず左側臥位を用いる.心房中隔や右冠動脈は右側臥位での傍胸骨右縁断面からの観察が有用なことがある.小児ではこれに加えて胸骨上窩断面と心窩部断面が用いられるが,不快感が強いため検査の後半に行う.傍胸骨左室短軸断面からさらに上方へ探触子を移動しながら傾けてスキャンすると,左右肺動脈分岐部,大動脈弓部,無名静脈などの像がえられる.心窩部断面では下大静脈と腹部大動脈の位置関係の確認,各先天性心疾患の観察に適した断面を描出する.胸骨上窩断面と心窩部断面は仰臥位で行うが,胸骨上窩断面は首にタオルなどをあて頸部をそらせると描出しやすい.

Pediatric Cardiology and Cardiac Surgery 41(1): 20-27 (2025)

Fig. 2 Basic views

a. Parasternal left ventricular long axis view. b. Apical four chamber view. c. Parasternal short axis view, great vessels level. d. parasternal short axis view, mitral valve level. e. Parasternal short axis view, ventricular level. f. Right side parasternal view.

これらの基本断面を正しく描出し,そこから探触子の平行移動・傾き・回転の要素を用いてスキャンすることで,正常構造物との関係,病変の範囲や進展などを三次元的にイメージすることができる.我々が対象とする多くの組織や病変は大きくても数mm程度の径であり,わずかな操作で大きく画像が変わるため常に繊細な操作を心がける.この基本断面の描出とスキャンを身につけると,病変の見落としを防ぐことができ,さらに心臓構造に一致したイメージで診断が可能となる.

基本計測

心血管径の計測は正しい断面と方法で行わなければならない.心エコーでの計測には,境界エコーの後方が厚くなる超音波特性を考慮したルールが存在する(Fig. 3).現在の心エコー装置ではこの現象による影響は少なく臨床的に問題になることは少ないとされているが,ガイドラインによってあるいは計測項目によって異なる方法が指定されており注意が必要である.本稿ではアメリカ心エコー図学会のガイドラインなどを参照した一般的方法を示す2–5)

Pediatric Cardiology and Cardiac Surgery 41(1): 20-27 (2025)

Fig. 3 Rule of measurement

①leading edge to leading edge ②trailing edge to leading edge (inner edge to inner edge)

左室内径は傍胸骨左室短軸断面の断層像で計測することが小児のガイドラインでは推奨されているが,同断面でのMモード法も広く用いられている3).一方成人のガイドラインでは左室長軸断面での計測が推奨されている4).Mモード法は,必ずしも心臓の長軸に対して垂直にならないこと,心臓そのものの動きにより心周期を通して同じ部位を計測できないことなどから,最新のガイドラインでは断層像での計測が推奨されている.Mモード法ではleading edge to leading edge,断層法ではtrailing edge to leading edgeで計測する.これら左室内径の計測値から左室容積や駆出率を算出する方法が用いられてきたが,いずれも一つの内腔計測からでは正確性に限界がある.より左室形態の変化を反映させる方法として四腔断面と二腔断面からのdisc summation法が推奨される.注意点としては二断面での左室長軸長の差が10%以下になるように描出する必要があり,ダイナミックレンジを狭くするなど心内膜面を明瞭に描出してトレースしなければならない(Fig. 4).

Pediatric Cardiology and Cardiac Surgery 41(1): 20-27 (2025)

Fig. 4 Measurement of chambers

a. Left ventricle long axis measurement. b. Left ventricle short axis measurement. c. Left ventricle measurement using M-mode method. d. Left ventricle measurement using bi-plane disk summation method. e. Right ventricle measurement. IVS, interventricular septal wall thickness; LVEDD, left ventricle end-diastolic dimension; LVESD, left ventricle end-systolic dimension; PWT, posterior wall thickness.

右室計測にはその形態から複数の断面を描出する必要があるが,複雑な構造のために検者間誤差も大きくなる.右室焦点四腔断面で基部径,中部径,断面積を,傍胸骨断面で流出路径を計測する.断面積の拡張末期と収縮末期の差を拡張末期面積で除した値をfractional area change(FAC)として右室収縮能の指標とする.また三尖弁輪径の移動距離(TAPSE)も簡便に測定できる指標である.

左房の形態は血行動態の変化を均等に反映しないため,特定断面での径や面積の計測のみでは不十分であり,容積計測が望ましい.左室と同様に四腔断面と二腔断面からのdisc summation法,あるいはarea-length法が用いられる.

それぞれの弁輪と血管の計測を示す(Figs. 5, 6).いずれも最大となる時相で内膜面間の距離(trailing edge to leading edge)を計測する.僧帽弁輪径,三尖弁輪径は心尖部四腔断面と傍胸骨長軸断面でそれぞれ計測する.最大径となる拡張期で弁付着部を計測することが一般的であり,楕円形の房室弁輪形態を反映してそれぞれの計測部位で正常値が異なる.大動脈弁輪径は傍胸骨長軸断面で計測し,最大径となる収縮期で計測する.同様にバルサルバ洞径,接合部径,上行大動脈径も計測するが,これらの部位は成人ガイドラインにおいて拡張末期にleading edge to leading edgeでの計測が推奨されており,施設内での統一が望ましい.肺動脈弁輪径は収縮期の傍胸骨短軸断面で計測し,主肺動脈径,左右肺動脈径の計測も行う.症例によっては傍胸骨長軸断面のほうが描出しやすいことがある.大動脈弓は胸骨上窩断面から体位の工夫を併用して描出し,近位(無名動脈–左総頚動脈間),遠位(左総頚動脈–左鎖骨下動脈間),峡部(左鎖骨下動脈以遠の最狭部)を計測する.下大静脈は心窩部断面で下行大動脈との位置関係と流入する心房を確認し,右房に連続する断面で計測するとともに呼吸による変動を観察する.肺静脈は心尖部断面と胸骨上窩断面で左房への流入を確認する.冠動脈は傍胸骨短軸断面の大動脈弁レベルから左右冠動脈起始部を描出し,流速を下げたカラードプラを併用する.

Pediatric Cardiology and Cardiac Surgery 41(1): 20-27 (2025)

Fig. 5 Measurements of valves

a. Aortic valve with parasternal left ventricular long axis view. b. Pulmonary valve with parasternal right ventricular outflow tract view. c. Pulmonary valve with parasternal short axis view. d. Mitral valve with apical four chamber view. e. Mitral valve with parasternal left ventricular long axis view. f. Tricuspid valve with right ventricular focused apical four chamber view. g. Tricuspid valve with parasternal right ventricular inflow view. AV, aortic valve; MV, mitral valve; PV, pulmonary valve; TV, tricuspid valve.

Pediatric Cardiology and Cardiac Surgery 41(1): 20-27 (2025)

Fig. 6 Measurements of vessels

a. Mein, right and left pulmonary artery. b. Valsalva, ST junction, ascending aorta. c. Arch. d. Pulmonary veins. e. Inferior vena cava. f. Coronary artery. Asc Ao, ascending aorta; IVC, inferior vena cava; LA, left atrium; LCA, left coronary artery; LLPV, left lower pulmonary vein; LPA, left pulmonary artery; LUPV, left upper pulmonary vein; MPA, main pulmonary artery; RCA, right coronary artery; RLPV, right lower pulmonary vein; RPA, right pulmonary artery; RUPV, right upper pulmonary vein; STJ, sinotublar junction.

ドプラ法では,三尖弁,右室流出路,肺動脈弁,肺動脈分岐部,僧帽弁,左室流出路,大動脈弁,大動脈弓での計測が推奨されている.目的とする指標により連続波ドプラ法,パルスドプラ法を使用する.狭窄病変では連続波ドプラ法から得られる最大流速を用いて簡易ベルヌーイ式で圧較差を評価するが,多段階の狭窄病変や狭窄形態によっては過大評価となることを判断に加味する必要がある.カラードプラ法は直接的に血流情報を可視化でき,断層像と組み合わせることで情報量が格段に増える.しかし,カラードプラで速度レンジやゲインの設定が適切でないと形態診断や血行動態評価を誤ることがあるため,断層像で得られるその他の所見と矛盾がないかを常に確認しておく.その他のドプラ計測で得られる血行動態指標に関しては他稿を参照いただきたい.

計測値の解釈

小児循環器領域の対象は胎児から成人まで幅広く,年齢に応じて体格はもとより基礎代謝や活動量など大きく異なる.そのため心血管径の計測では成長という要素を加味して計測値を解釈する必要があり,正常値の設定が重要となる.当初は心臓カテーテル検査から導き出された心室容積の正常回帰式に始まり,その後心エコー検査での心血管径計測をもとにした回帰式が提唱されるようになった.いずれも症例数と対象の偏りがあり,回帰式間の差異が大きいことが指摘されていた6, 7).近年では大規模な症例数を対象とした研究で,より正確な正常値を求められるようになっており,Web上で参照することもできる8–10).しかし,これらの回帰式間にも依然として一定の誤差があることを知っておく必要がある11)

現在提唱されている正常回帰式のほとんどに体表面積(BSA)が用いられる.BSAの計算式も複数あるが,心エコー図学会のガイドラインではHaycock式が推奨されている.体格の補正としてBSAが最善とはされているが,同じBSAでも身長と体重のバランスは症例毎,人種間で異なる.このためBSAを用いた正常回帰式では母集団の人種や性別などの分布を確認する必要がある.

正常値に対する計測値の表現方法には%normalとZ scoreがある.%Normalは正常平均値との比率であり,直接的に狭窄や拡大の程度を表現することができる.例えば血管径が正常の70%となると血管内腔面積は50%となり,狭窄が顕在化する臨床所見をイメージしやすい.Z scoreは計測値が正常平均値からどの程度外れているかを標準偏差で正規化して表現する方法で,計測値が正常者の分布のなかでどの位置にあるかを示している.このため,同じ計測値でもばらつきの異なる母集団では標準偏差が異なるためZ scoreも異なる12)

現状では各施設で独自の正常値あるいは既報の正常回帰式を選択しており,長年更新されていない施設も多いと推察される.これを機に各施設での正常値の設定を確認していただくとともに,施設間で症例検討をする際には何を基準としてどの指標を用いているかの確認が必要である.理想的には日本の各施設が日本のデータに基づいた共通の正常値を使用できるようになることが望まれる.

心エコー検査の心構え

心エコー検査は今後さらに自動化技術が発展することにより,その汎用性と普遍性が増すであろう.しかし,心エコー検査は決して万能な聴診器ではない.なぜなら心エコー検査では検者が見ようとしなければ何も見えないからである.まず臨床症状や聴診をはじめとした身体所見から疾患と病態を推察したうえで,心エコー検査で評価する.さらに他の検査所見と矛盾がないか,見落としていないかを常に確認するべきである.

誰からも信頼される心エコー検査ができる小児循環器科医を目指して研鑽を続けたい.

利益相反

本稿について,開示すべき利益相反(COI)はない.

引用文献References

1) Campbel RM, Douglas PS, Eidem BW, et al: ACC/AAP/AHA/ASE/HRS/SCAI/SCCT/SCMR/SOPE 2014 Appropriate use criteria for initial transthoracic echocardiography in outpatient pediatric cardiology. J Am Coll Cardiol 2014; 64: 2039–2060

2) Lai WW, Geva T, Shirali GS, et al: Task Force of the Pediatric Council of the American Society of Echocardiography; Pediatric Council of the American Society of Echocardiography: Guidelines and standards for performance of a pediatric echocardiogram: A report from the task force of the pediatric council of the American Society of Echocardiography. J Am Soc Echocardiogr 2006; 19: 1413–1430

3) Lopes L, Colan SD, Frommelt PC, et al: Recommendations for quantification methods during the performance of a pediatric echocardiogram: A report from the pediatric measurements writing group of the American Society of Echocardiography pediatric and congenital heart disease council. J Am Soc Echocardiogr 2010; 23: 465–495, quiz, 576–577

4) Lang RM, Badano LP, Mor-Avi V, et al: Recommendations for cardiac chamber quantification by echocardiography in adults: An update from the American Society of Echocardiography and the European Association of Cardiovascular Imaging. J Am Soc Echocardiogr 2015; 28: 1–39

5) Mitchell C, Rahko PS, Blauwet LA, et al: Guidelines for performing a comprehensive transthoracic echocardiographic examination in adults: Reccommendations from the American Society of Echocardiography. J Am Soc Echocardiogr 2019; 32: 1–64

6) 青墳裕之:小児心臓血管サイズの正常回帰式について—既報論文の集積と各回帰式の比較—.日小児循環器会誌2003; 4: 421–430

7) Pettersen MD, Du W, Skeens ME, et al: Regression equations for calculation of z scores of cardiac structures in a large cohort of healthy infants, children, and adolescents: An ehocardiographyc study. J Am Soc Echocardiogr 2008; 21: 922–934

8) Lopez L, Colan S, Stylianou M, et al: Pediatric Heart Network Investigators*: Relationship of echocardiographic Z-Scores adjusted for body surface area to age, sex, race, and ethnicity: The pediatric heart network normal echocardiogram database. Circ Cardiovasc Imaging 2017; 10: e006979

9) Boston Children’s Hospital Z-score calculator: http://zscore.chboston.org/

10) Cantinotti M, Giordano R, Scalese M, et al: Nomograms for two-dimensional echocardiography derived valvular and arterial dimensions in Caucasian children. J Cardiol 2017; 69: 208–215

11) Lopez L, Frommelt PC, Colan SD, et al: Pediatric Heart Network Investigators: Pediatric Heart Network echocardiographic Z-Scores: Comparison to other pubrished models. J Am Soc Echocardiogr 2021; 34: 185–192

12) 新居正基:新生児から小児の正常値と心疾患の診断.心エコー2022; 23: 398–406

This page was created on 2025-04-17T15:33:11.749+09:00
This page was last modified on 2025-05-23T16:47:37.000+09:00


このサイトは(株)国際文献社によって運用されています。